🇳🇴 🇬🇧 🇩🇪 🇨🇿 🇫🇮

Meteor Burfjordin yllä 2020-12-22 04:18:09 UTC

KML-tiedosto  |  Interaktiivinen kartta

Kartta näyttää meteorin suuntahavainnot. Vaaleammat viivat näyttävät suunnat havaintoasemilta meteorin ilmestyessä, ja tummemmat viivat näyttävät, missä se viimeksi nähtiin. Sininen nuoli näyttää meteorin näkyvän lennon.

static map
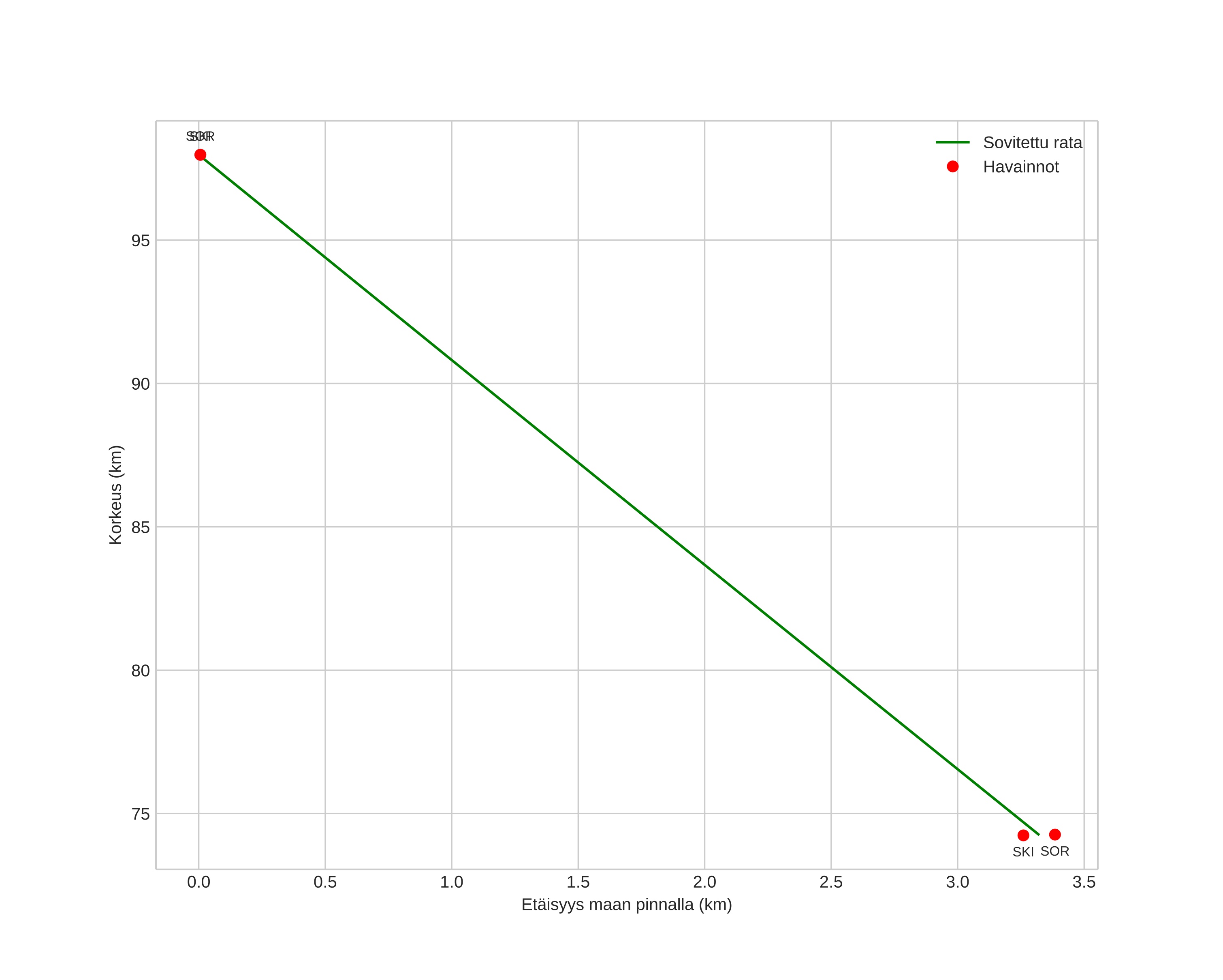
height profile
Meteorin ilmakehärata:
Alkukorkeus: 98,1 km
Loppukorkeus: 51,9 km
Alkupiste: 69,677N 22,988E
Loppupiste: 69,571N 22,254E
Suunta: 247,8°
Kallistuskulma: 56,3°
Tulonopeus: 60,1 km/s
Radiantin R,A,: 17:13 (258,5°)
Radiantin Dekl,: 58,5°
Meteoriparvi: Sporadinen
Meteoroidin rataelementit:
Perihelietäisyys: 0,975 AU
Eksentrisyys: 3,436
Inklinaatio: 67,5°
Nousevan solmun pituus: 270,5°
Perihelin argumentti: 171,2°
Keskianomalia: 16,1°
Epookki: 2020 DEC 22 04:18:09
orbit plot

Ei-interaktiivinen kuvaaja | Interaktiivinen kuvaaja

position vs time
speed and acceleration