🇳🇴 🇬🇧 🇩🇪 🇨🇿 🇫🇮

Meteor, poloha: Kautokeino 2020-12-22 15:44:00 UTC

Soubor KML  |  InteraktivnĂ­ mapa

Mapa zobrazuje dráhy meteoru. Světlejší čáry ukazují směry od pozorovacích stanic při objevení se meteoru a tmavší čáry, kde byl naposledy viděn. Modrá šipka značí viditelnou dráhu meteoru.

static map
height profile
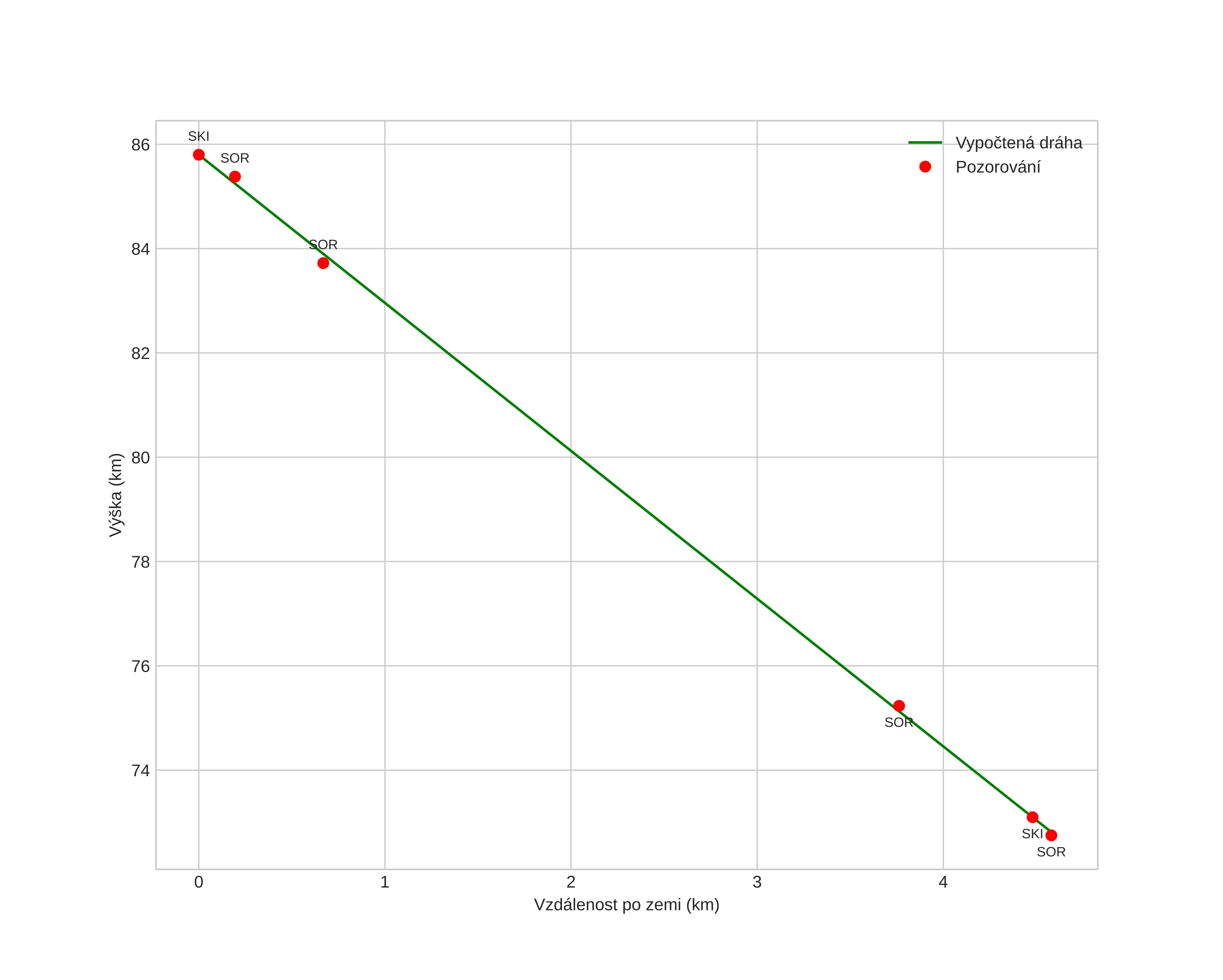
Atmosférická dráha meteoru:
Počáteční výška: 85,5 km
Konečná výška: 73,0 km
Počáteční poloha: 68,249N 21,827E
Konečná poloha: 68,283N 21,880E
Směr: 29,8°
Sklon: 70,6°
VstupnĂ­ rychlost: 16,9 km/s
Rektascenze radiantu: 22:08 (332,2°)
Deklinace radiantu: 47,3°
MeteorickĂ˝ roj: sporadickĂ˝
Elementy dráhy meteoroidu:
Vzdálenost v periheliu: 0,984 AU
Excentricita: 0,713
Sklon dráhy: 15,1°
Délka vzestupného uzlu: 271,0°
Argument perihelia: 180,0°
Střední anomálie: 360,0°
Epocha: 2020 DEC 22 15:44:00
orbit plot

NeinteraktivnĂ­ graf | InteraktivnĂ­ graf

position vs time
speed and acceleration