🇳🇴 🇬🇧 🇩🇪 🇨🇿 🇫🇮

Meteor Kautokeinon yllä 2020-12-22 15:44:00 UTC

KML-tiedosto  |  Interaktiivinen kartta

Kartta näyttää meteorin suuntahavainnot. Vaaleammat viivat näyttävät suunnat havaintoasemilta meteorin ilmestyessä, ja tummemmat viivat näyttävät, missä se viimeksi nähtiin. Sininen nuoli näyttää meteorin näkyvän lennon.

static map
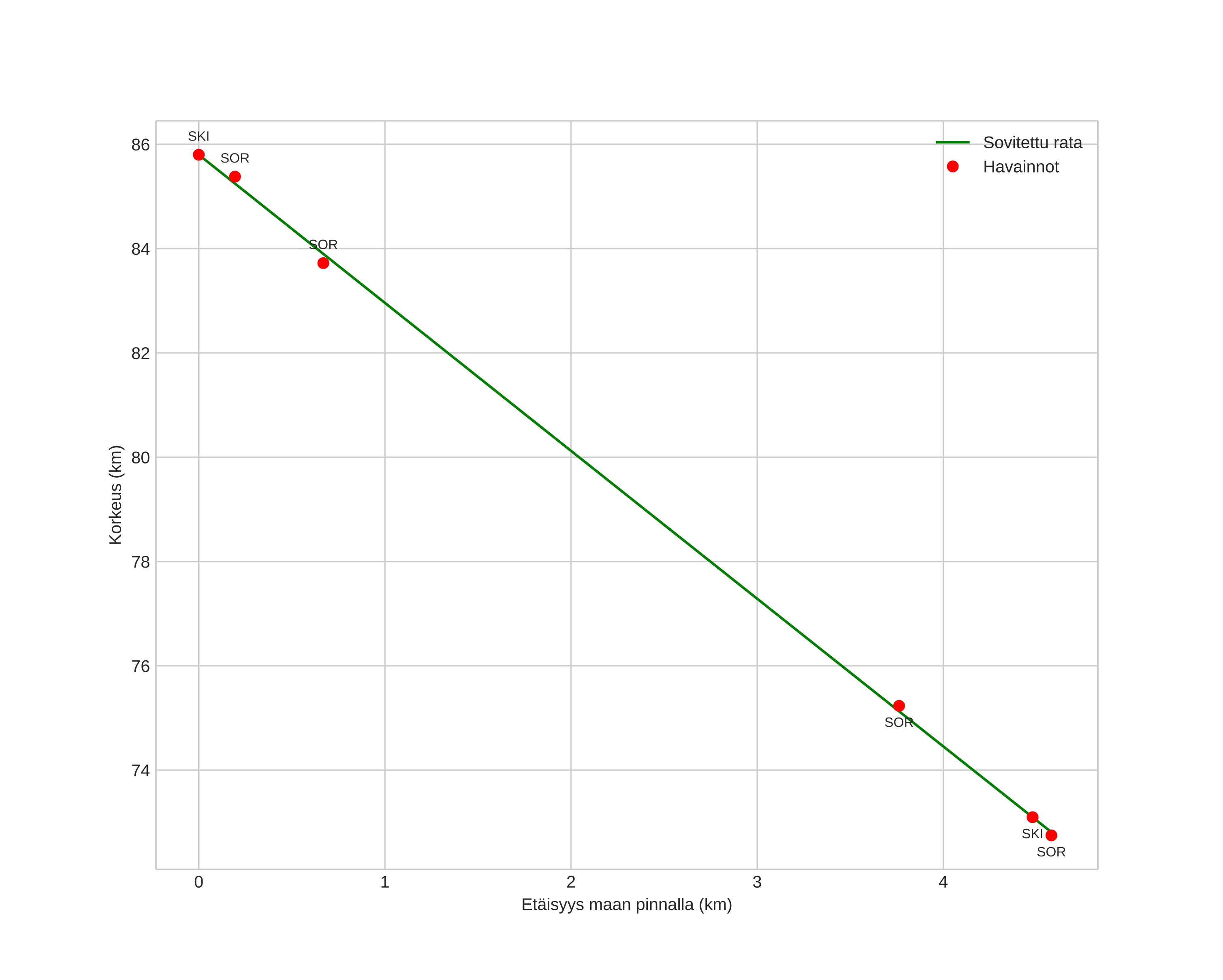
height profile
Meteorin ilmakehärata:
Alkukorkeus: 85,5 km
Loppukorkeus: 73,0 km
Alkupiste: 68,249N 21,827E
Loppupiste: 68,283N 21,880E
Suunta: 29,8°
Kallistuskulma: 70,6°
Tulonopeus: 16,9 km/s
Radiantin R,A,: 22:08 (332,2°)
Radiantin Dekl,: 47,3°
Meteoriparvi: Sporadinen
Meteoroidin rataelementit:
Perihelietäisyys: 0,984 AU
Eksentrisyys: 0,713
Inklinaatio: 15,1°
Nousevan solmun pituus: 271,0°
Perihelin argumentti: 180,0°
Keskianomalia: 360,0°
Epookki: 2020 DEC 22 15:44:00
orbit plot

Ei-interaktiivinen kuvaaja | Interaktiivinen kuvaaja

position vs time
speed and acceleration