🇳🇴 🇬🇧 🇩🇪 🇨🇿 🇫🇮

Meteor, poloha: LaxĂĄ 2020-12-24 01:19:20 UTC

Soubor KML  |  InteraktivnĂ­ mapa

Mapa zobrazuje dráhy meteoru. Světlejší čáry ukazují směry od pozorovacích stanic při objevení se meteoru a tmavší čáry, kde byl naposledy viděn. Modrá šipka značí viditelnou dráhu meteoru.

static map
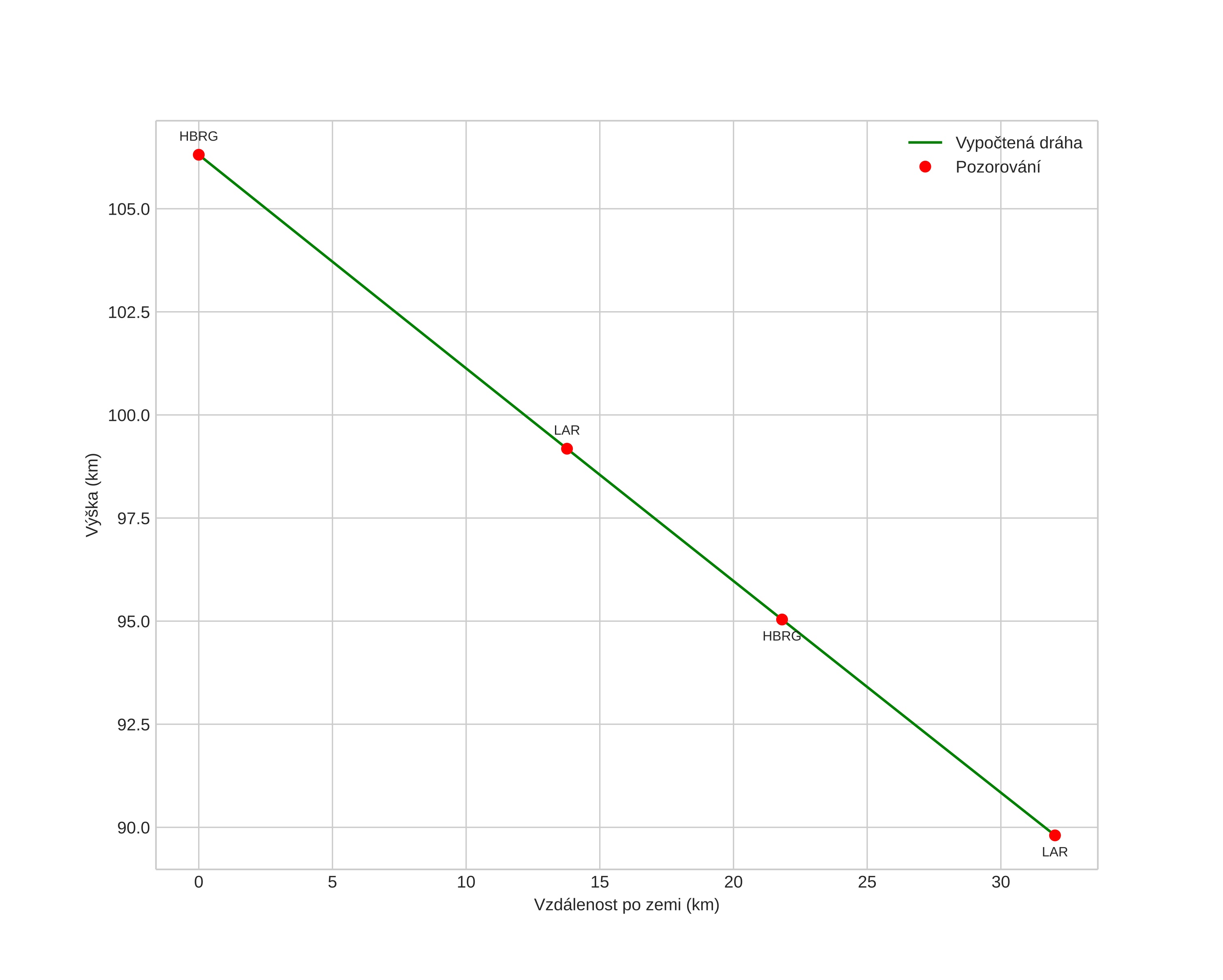
height profile
Atmosférická dráha meteoru:
Počáteční výška: 106,3 km
Konečná výška: 89,7 km
Počáteční poloha: 58,768N 14,893E
Konečná poloha: 58,955N 14,459E
Směr: 310,1°
Sklon: 27,0°
VstupnĂ­ rychlost: 54,0 km/s
Rektascenze radiantu: 11:22 (170,7°)
Deklinace radiantu: 4,6°
MeteorickĂ˝ roj: sporadickĂ˝
Elementy dráhy meteoroidu:
Vzdálenost v periheliu: 0,310 AU
Excentricita: 0,575
Sklon dráhy: 178,6°
Délka vzestupného uzlu: 272,5°
Argument perihelia: 331,4°
Střední anomálie: 258,6°
Epocha: 2020 DEC 24 01:19:20
orbit plot

NeinteraktivnĂ­ graf | InteraktivnĂ­ graf

position vs time
speed and acceleration