🇳🇴 🇬🇧 🇩🇪 🇨🇿 🇫🇮

Meteor Laxåin yllä 2020-12-24 01:19:20 UTC

KML-tiedosto  |  Interaktiivinen kartta

Kartta näyttää meteorin suuntahavainnot. Vaaleammat viivat näyttävät suunnat havaintoasemilta meteorin ilmestyessä, ja tummemmat viivat näyttävät, missä se viimeksi nähtiin. Sininen nuoli näyttää meteorin näkyvän lennon.

static map
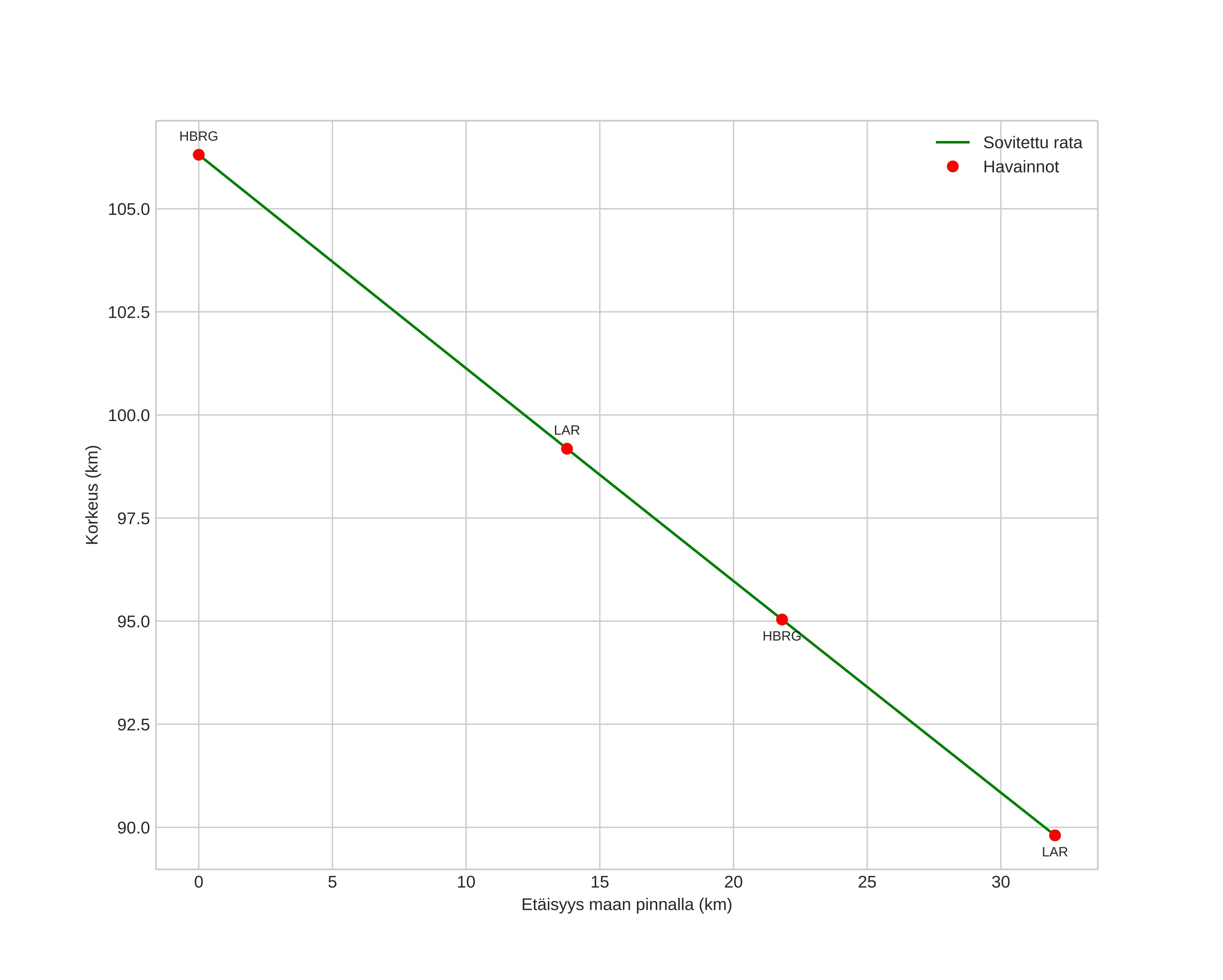
height profile
Meteorin ilmakehärata:
Alkukorkeus: 106,3 km
Loppukorkeus: 89,7 km
Alkupiste: 58,768N 14,893E
Loppupiste: 58,955N 14,459E
Suunta: 310,1°
Kallistuskulma: 27,0°
Tulonopeus: 54,0 km/s
Radiantin R,A,: 11:22 (170,7°)
Radiantin Dekl,: 4,6°
Meteoriparvi: Sporadinen
Meteoroidin rataelementit:
Perihelietäisyys: 0,310 AU
Eksentrisyys: 0,575
Inklinaatio: 178,6°
Nousevan solmun pituus: 272,5°
Perihelin argumentti: 331,4°
Keskianomalia: 258,6°
Epookki: 2020 DEC 24 01:19:20
orbit plot

Ei-interaktiivinen kuvaaja | Interaktiivinen kuvaaja

position vs time
speed and acceleration