🇳🇴 🇬🇧 🇩🇪 🇨🇿 🇫🇮

Meteor, poloha: Hansnes 2020-12-24 16:51:15 UTC

Soubor KML  |  InteraktivnĂ­ mapa

Mapa zobrazuje dráhy meteoru. Světlejší čáry ukazují směry od pozorovacích stanic při objevení se meteoru a tmavší čáry, kde byl naposledy viděn. Modrá šipka značí viditelnou dráhu meteoru.

static map
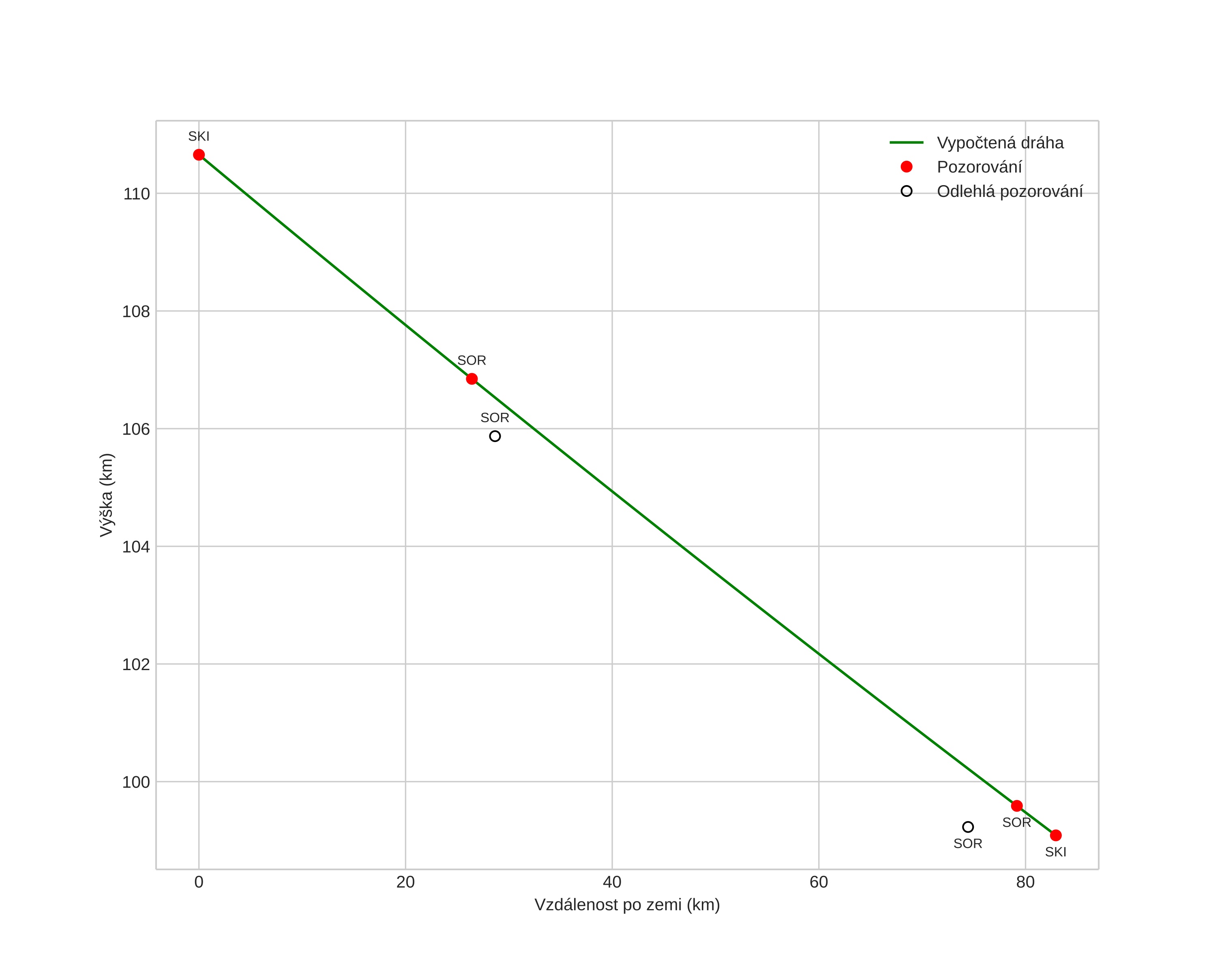
height profile
Atmosférická dráha meteoru:
Počáteční výška: 109,1 km
Konečná výška: 96,0 km
Počáteční poloha: 70,429N 18,026E
Konečná poloha: 69,996N 19,704E
Směr: 126,5°
Sklon: 9,4°
VstupnĂ­ rychlost: 51,1 km/s
Rektascenze radiantu: 16:07 (241,8°)
Deklinace radiantu: 19,4°
MeteorickĂ˝ roj: sporadickĂ˝
Elementy dráhy meteoroidu:
Vzdálenost v periheliu: 0,545 AU
Excentricita: 1,096
Sklon dráhy: 78,7°
Délka vzestupného uzlu: 273,1°
Argument perihelia: 98,5°
Střední anomálie: 2,6°
Epocha: 2020 DEC 24 16:51:15
orbit plot

NeinteraktivnĂ­ graf | InteraktivnĂ­ graf

position vs time
speed and acceleration