🇳🇴 🇬🇧 🇩🇪 🇨🇿 🇫🇮

Meteor Hansnesin yllä 2020-12-24 16:51:15 UTC

KML-tiedosto  |  Interaktiivinen kartta

Kartta näyttää meteorin suuntahavainnot. Vaaleammat viivat näyttävät suunnat havaintoasemilta meteorin ilmestyessä, ja tummemmat viivat näyttävät, missä se viimeksi nähtiin. Sininen nuoli näyttää meteorin näkyvän lennon.

static map
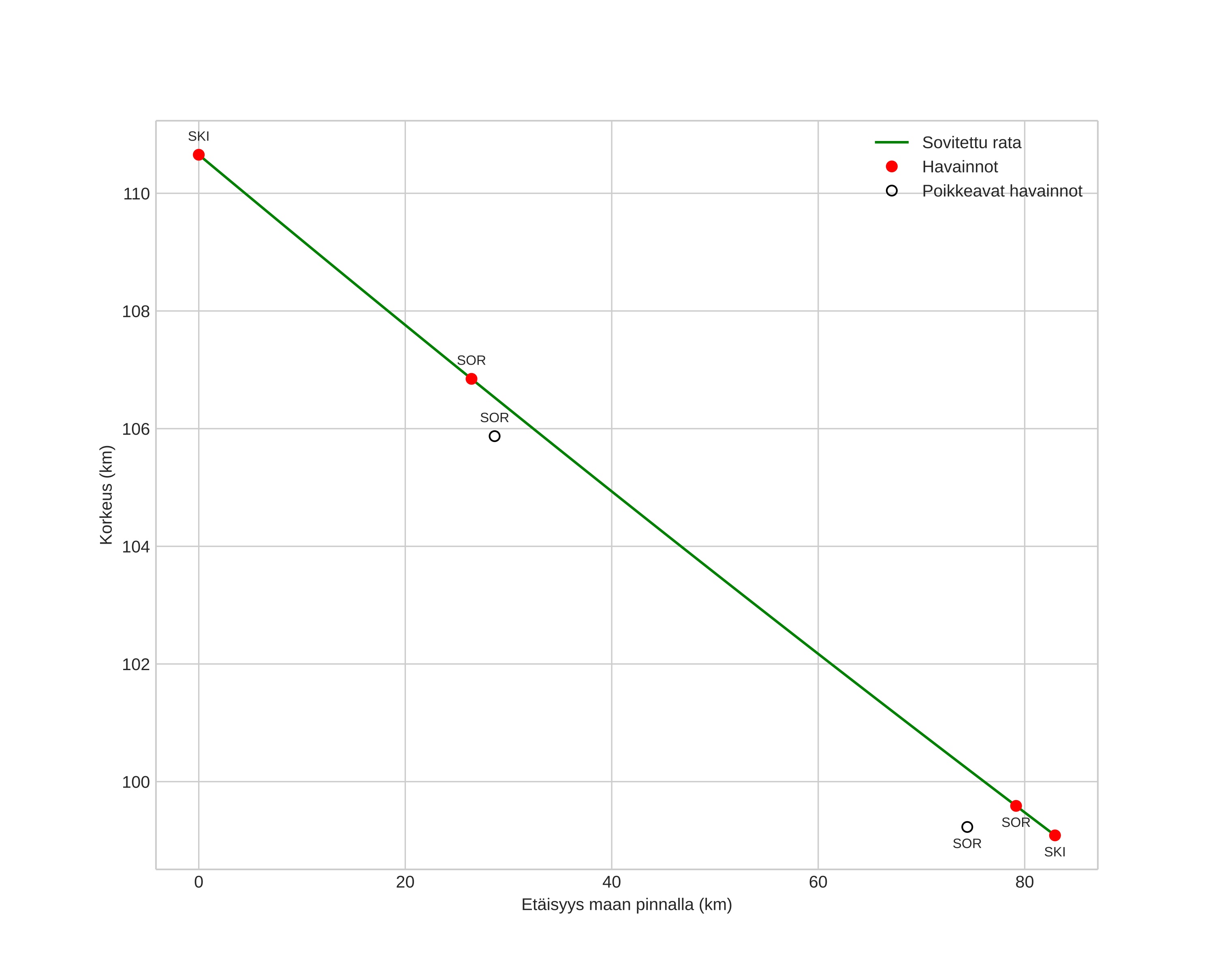
height profile
Meteorin ilmakehärata:
Alkukorkeus: 109,1 km
Loppukorkeus: 96,0 km
Alkupiste: 70,429N 18,026E
Loppupiste: 69,996N 19,704E
Suunta: 126,5°
Kallistuskulma: 9,4°
Tulonopeus: 51,1 km/s
Radiantin R,A,: 16:07 (241,8°)
Radiantin Dekl,: 19,4°
Meteoriparvi: Sporadinen
Meteoroidin rataelementit:
Perihelietäisyys: 0,545 AU
Eksentrisyys: 1,096
Inklinaatio: 78,7°
Nousevan solmun pituus: 273,1°
Perihelin argumentti: 98,5°
Keskianomalia: 2,6°
Epookki: 2020 DEC 24 16:51:15
orbit plot

Ei-interaktiivinen kuvaaja | Interaktiivinen kuvaaja

position vs time
speed and acceleration