🇳🇴 🇬🇧 🇩🇪 🇨🇿 🇫🇮

Meteor, poloha: Skjervøy 2020-12-24 21:02:59 UTC

Soubor KML  |  InteraktivnĂ­ mapa

Mapa zobrazuje dráhy meteoru. Světlejší čáry ukazují směry od pozorovacích stanic při objevení se meteoru a tmavší čáry, kde byl naposledy viděn. Modrá šipka značí viditelnou dráhu meteoru.

static map
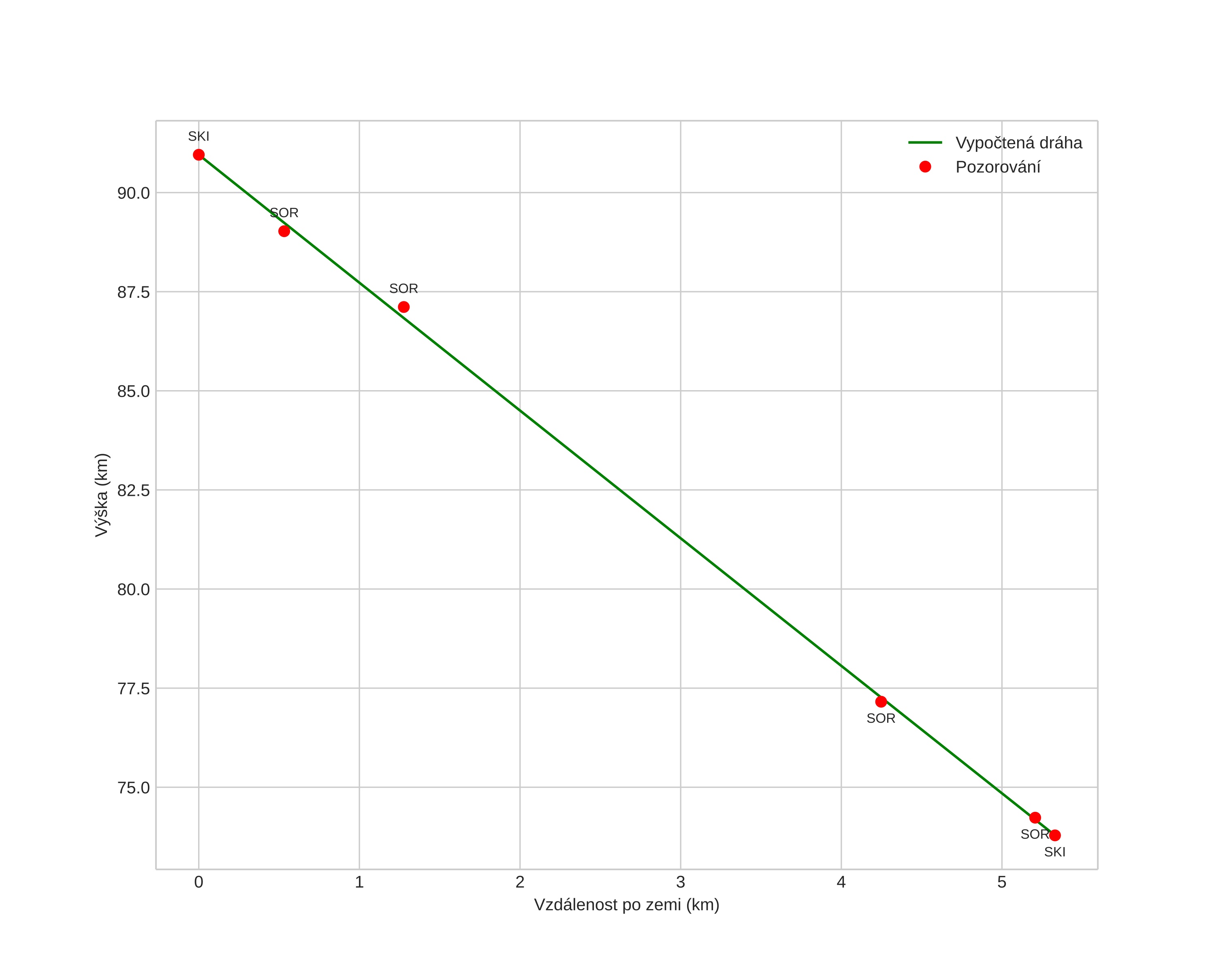
height profile
Atmosférická dráha meteoru:
Počáteční výška: 92,8 km
Konečná výška: 73,8 km
Počáteční poloha: 70,006N 21,255E
Konečná poloha: 70,058N 21,233E
Směr: 352,2°
Sklon: 72,7°
VstupnĂ­ rychlost: 22,3 km/s
Rektascenze radiantu: 04:54 (73,6°)
Deklinace radiantu: 51,4°
MeteorickĂ˝ roj: sporadickĂ˝
Elementy dráhy meteoroidu:
Vzdálenost v periheliu: 0,787 AU
Excentricita: 0,777
Sklon dráhy: 15,0°
Délka vzestupného uzlu: 273,2°
Argument perihelia: 237,2°
Střední anomálie: 354,7°
Epocha: 2020 DEC 24 21:02:59
orbit plot

NeinteraktivnĂ­ graf | InteraktivnĂ­ graf

position vs time
speed and acceleration