🇳🇴 🇬🇧 🇩🇪 🇨🇿 🇫🇮

Meteor Skjervøyn yllä 2020-12-24 21:02:59 UTC

KML-tiedosto  |  Interaktiivinen kartta

Kartta näyttää meteorin suuntahavainnot. Vaaleammat viivat näyttävät suunnat havaintoasemilta meteorin ilmestyessä, ja tummemmat viivat näyttävät, missä se viimeksi nähtiin. Sininen nuoli näyttää meteorin näkyvän lennon.

static map
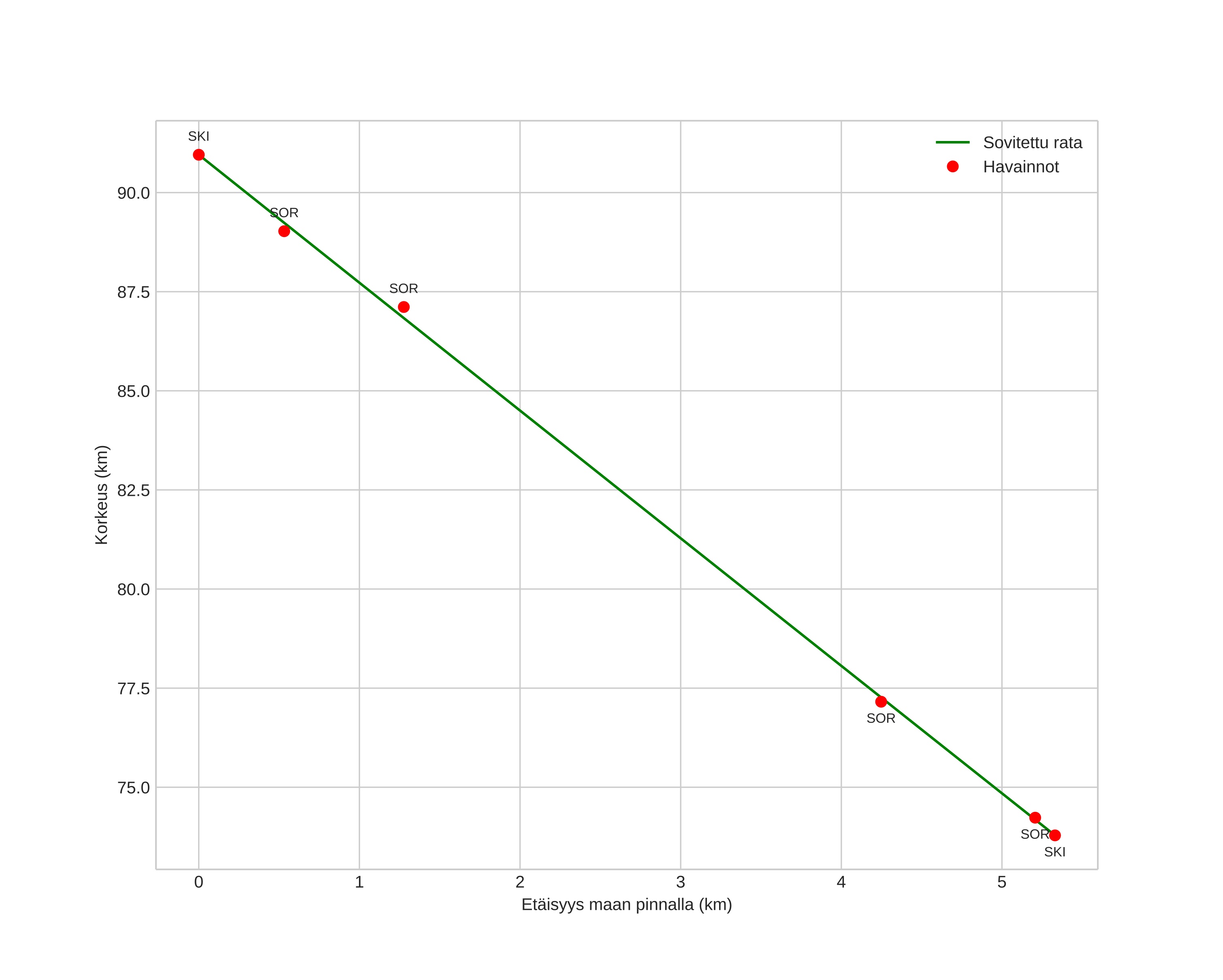
height profile
Meteorin ilmakehärata:
Alkukorkeus: 92,8 km
Loppukorkeus: 73,8 km
Alkupiste: 70,006N 21,255E
Loppupiste: 70,058N 21,233E
Suunta: 352,2°
Kallistuskulma: 72,7°
Tulonopeus: 22,3 km/s
Radiantin R,A,: 04:54 (73,6°)
Radiantin Dekl,: 51,4°
Meteoriparvi: Sporadinen
Meteoroidin rataelementit:
Perihelietäisyys: 0,787 AU
Eksentrisyys: 0,777
Inklinaatio: 15,0°
Nousevan solmun pituus: 273,2°
Perihelin argumentti: 237,2°
Keskianomalia: 354,7°
Epookki: 2020 DEC 24 21:02:59
orbit plot

Ei-interaktiivinen kuvaaja | Interaktiivinen kuvaaja

position vs time
speed and acceleration