🇳🇴 🇬🇧 🇩🇪 🇨🇿 🇫🇮

Meteor, poloha: Lakselv 2020-12-24 21:16:34 UTC

Soubor KML  |  InteraktivnĂ­ mapa

Mapa zobrazuje dráhy meteoru. Světlejší čáry ukazují směry od pozorovacích stanic při objevení se meteoru a tmavší čáry, kde byl naposledy viděn. Modrá šipka značí viditelnou dráhu meteoru.

static map
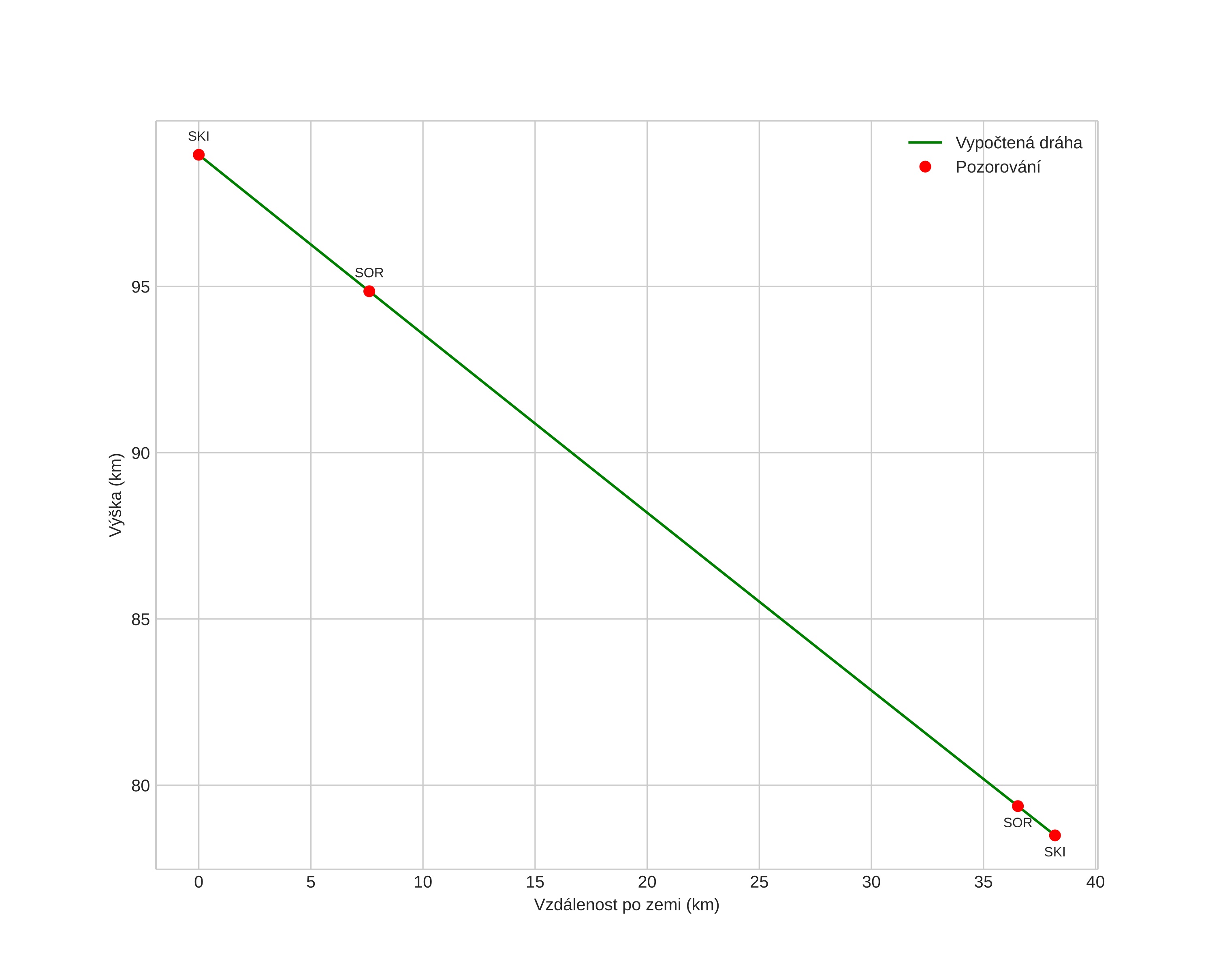
height profile
Atmosférická dráha meteoru:
Počáteční výška: 99,1 km
Konečná výška: 77,1 km
Počáteční poloha: 68,993N 25,169E
Konečná poloha: 69,214N 24,348E
Směr: 307,5°
Sklon: 28,3°
VstupnĂ­ rychlost: 45,4 km/s
Rektascenze radiantu: 08:16 (124,1°)
Deklinace radiantu: 13,6°
MeteorickĂ˝ roj: sporadickĂ˝
Elementy dráhy meteoroidu:
Vzdálenost v periheliu: 0,050 AU
Excentricita: 0,984
Sklon dráhy: 28,6°
Délka vzestupného uzlu: 93,3°
Argument perihelia: 155,8°
Střední anomálie: 354,9°
Epocha: 2020 DEC 24 21:16:34
orbit plot

NeinteraktivnĂ­ graf | InteraktivnĂ­ graf

position vs time
speed and acceleration