🇳🇴 🇬🇧 🇩🇪 🇨🇿 🇫🇮

Meteor Lakselvin yllä 2020-12-24 21:16:34 UTC

KML-tiedosto  |  Interaktiivinen kartta

Kartta näyttää meteorin suuntahavainnot. Vaaleammat viivat näyttävät suunnat havaintoasemilta meteorin ilmestyessä, ja tummemmat viivat näyttävät, missä se viimeksi nähtiin. Sininen nuoli näyttää meteorin näkyvän lennon.

static map
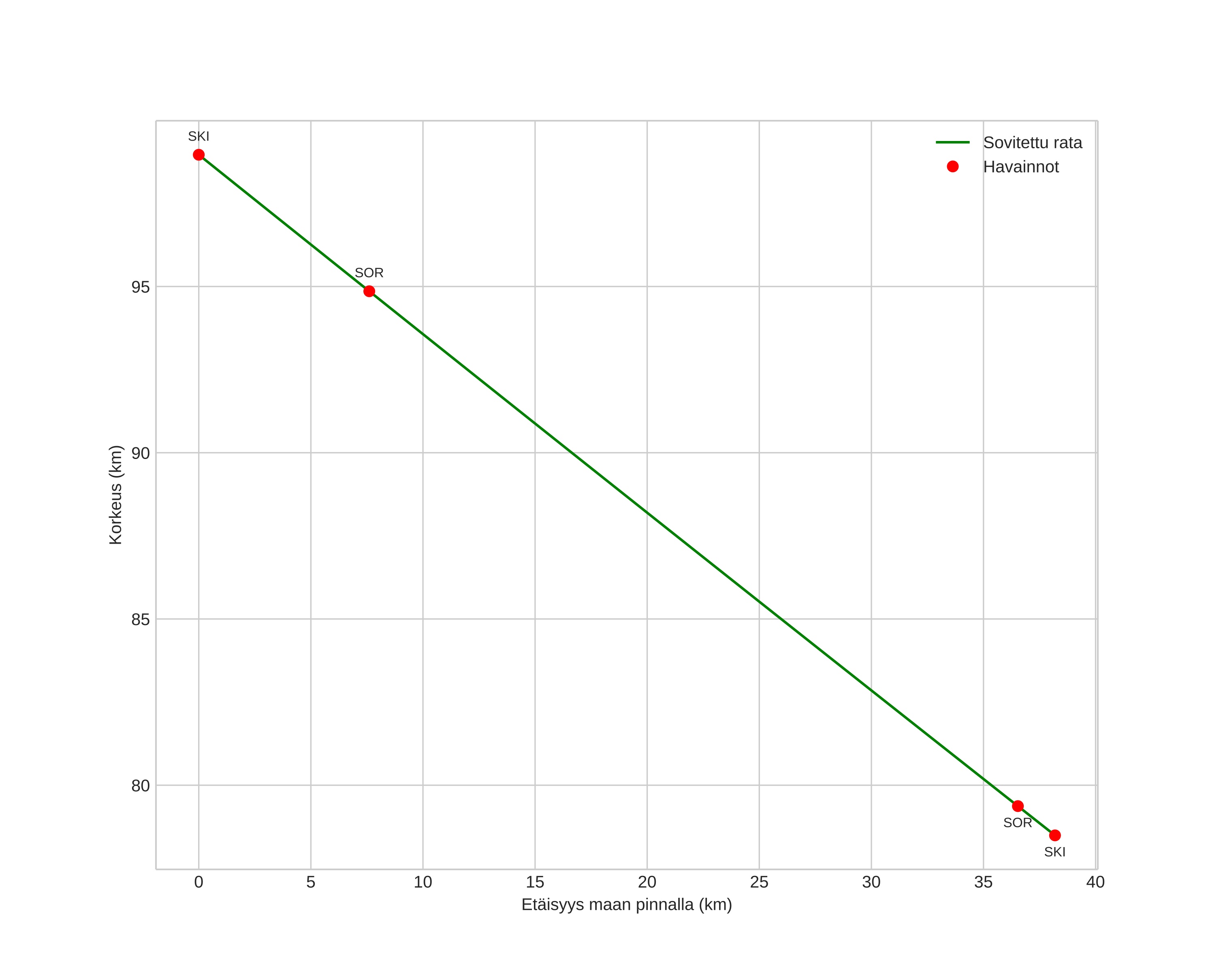
height profile
Meteorin ilmakehärata:
Alkukorkeus: 99,1 km
Loppukorkeus: 77,1 km
Alkupiste: 68,993N 25,169E
Loppupiste: 69,214N 24,348E
Suunta: 307,5°
Kallistuskulma: 28,3°
Tulonopeus: 45,4 km/s
Radiantin R,A,: 08:16 (124,1°)
Radiantin Dekl,: 13,6°
Meteoriparvi: Sporadinen
Meteoroidin rataelementit:
Perihelietäisyys: 0,050 AU
Eksentrisyys: 0,984
Inklinaatio: 28,6°
Nousevan solmun pituus: 93,3°
Perihelin argumentti: 155,8°
Keskianomalia: 354,9°
Epookki: 2020 DEC 24 21:16:34
orbit plot

Ei-interaktiivinen kuvaaja | Interaktiivinen kuvaaja

position vs time
speed and acceleration