🇳🇴 🇬🇧 🇩🇪 🇨🇿 🇫🇮

Meteor, poloha: Hønefoss 2020-12-24 21:34:30 UTC

Harestua – 2
Harestua – 2
Harestua – 4
Harestua – 4
Larvik – 1
Larvik – 1

Soubor KML  | Interaktivní mapa

map

Mapa zobrazuje dráhy meteoru. Světlejší čáry ukazují směry od pozorovacích stanic při objevení se meteoru a tmavší čáry, kde byl naposledy viděn. Modrá šipka značí viditelnou dráhu meteoru.

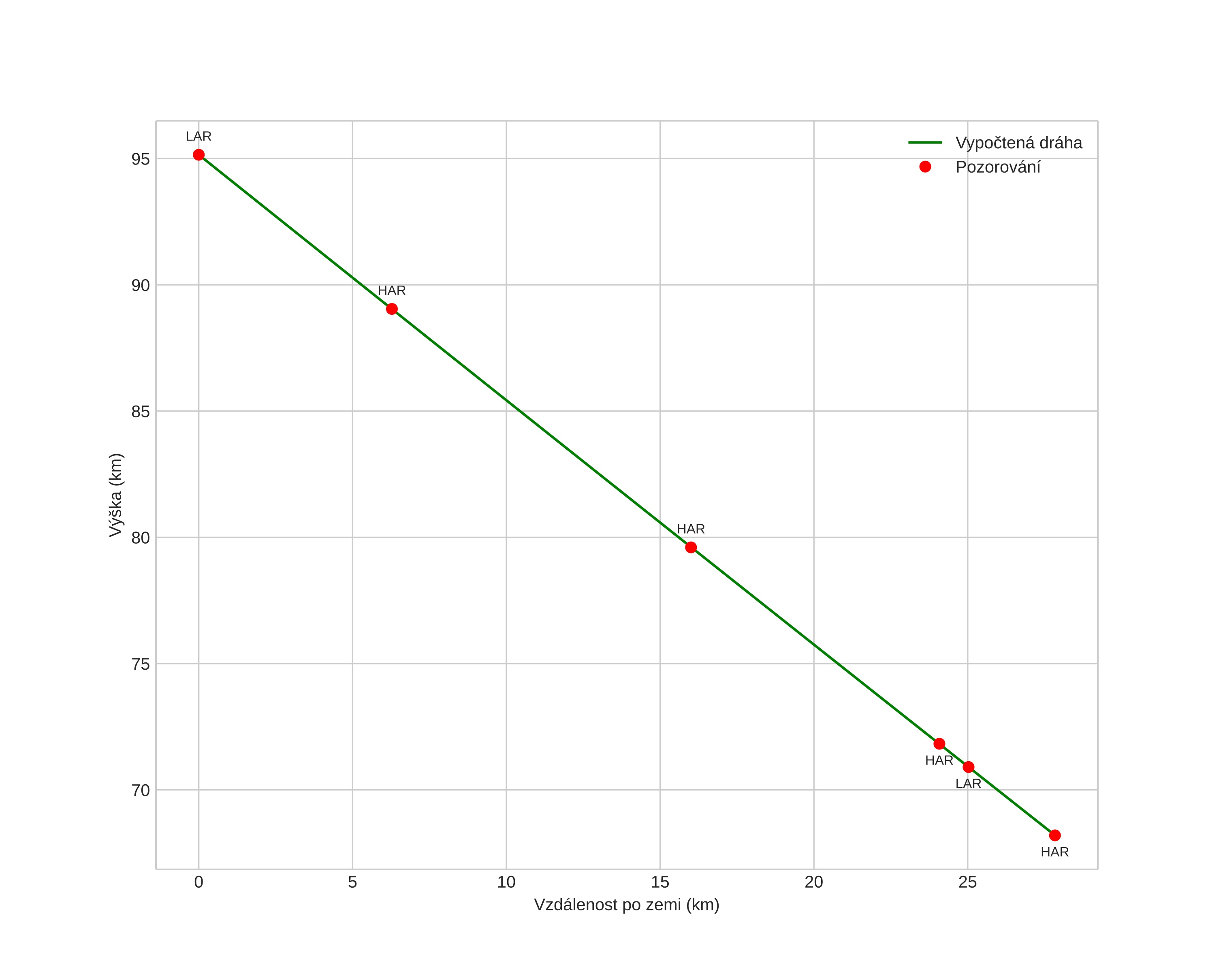
height profile
Atmosférická dráha meteoru:
Počáteční výška: 95,2 km
Konečná výška: 70,0 km
Počáteční poloha: 60,434N 10,419E
Konečná poloha: 60,202N 10,301E
Směr: 194,2°
Sklon: 43,5°
Vstupní rychlost: 40,5 km/s
Rektascenze radiantu: 14:25 (216,4°)
Deklinace radiantu: 70,5°
Meteorický roj: sporadický
Elementy dráhy meteoroidu:
Vzdálenost v periheliu: 0,948 AU
Excentricita: 1,022
Sklon dráhy: 61,1°
Délka vzestupného uzlu: 273,3°
Argument perihelia: 201,9°
Střední anomálie: -0,0°
Epocha: 2020 DEC 24 21:34:30
orbit

Neinteraktivní graf | Interaktivní graf

position vs time
speed & acceleration