🇳🇴 🇬🇧 🇩🇪 🇨🇿 🇫🇮

Meteor über Hønefoss 2020-12-24 21:34:30 UTC

Harestua – 2
Harestua – 2
Harestua – 4
Harestua – 4
Larvik – 1
Larvik – 1

KML-Datei  | Interaktive Karte

map

Die Karte zeigt die Peilungen für den Meteor. Die helleren Linien zeigen die Richtungen von den Beobachtungsorten beim Erscheinen des Meteors, und die dunkleren Linien, wo er zuletzt gesehen wurde. Der blaue Pfeil zeigt die sichtbare Bahn des Meteors.

height profile
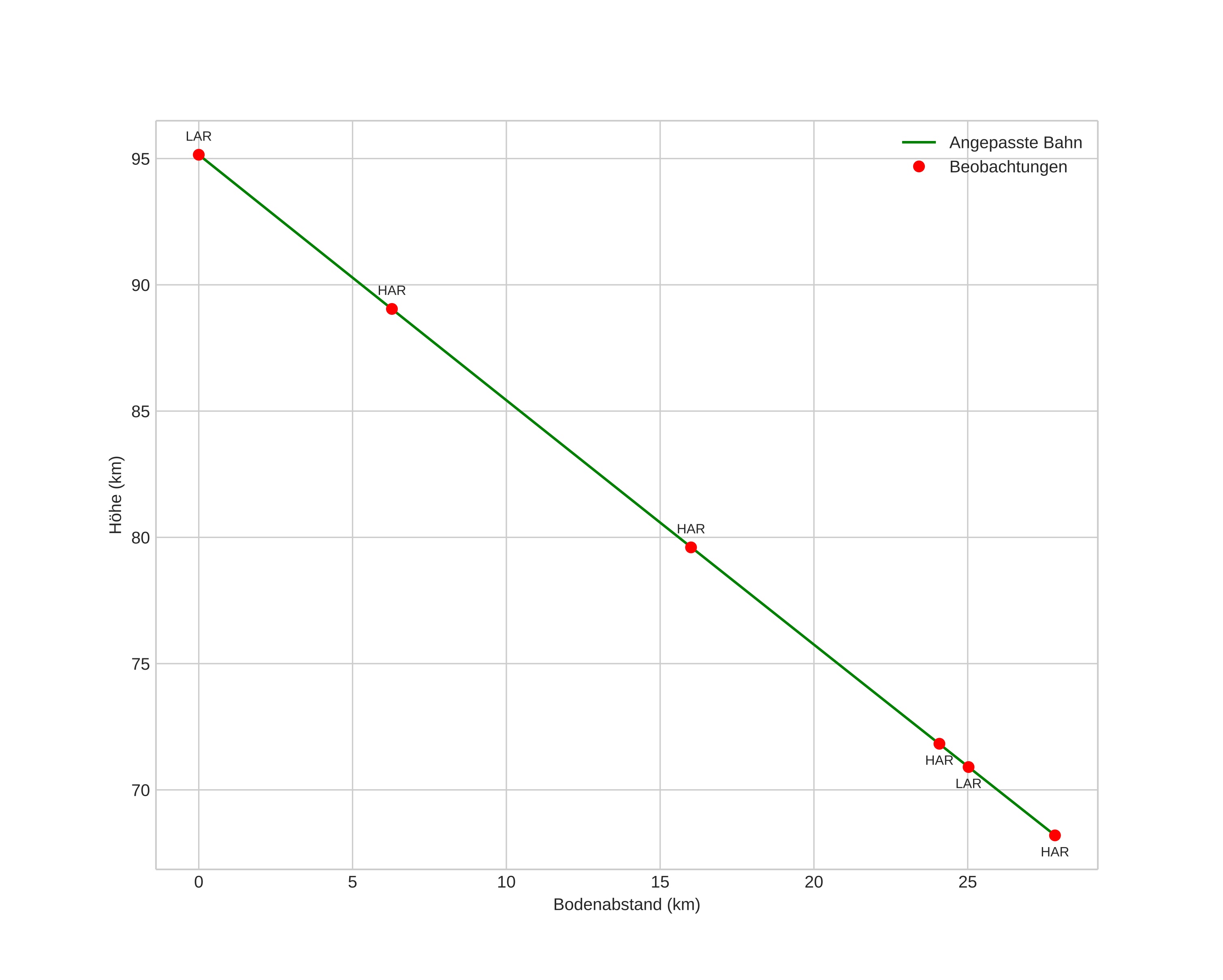
Atmosphärische Bahn des Meteors:
Anfangshöhe: 95,2 km
Endhöhe: 70,0 km
Startposition: 60,434N 10,419E
Endposition: 60,202N 10,301E
Richtung: 194,2°
Neigungswinkel: 43,5°
Eintrittsgeschwindigkeit: 40,5 km/s
Rektaszension des Radianten: 14:25 (216,4°)
Deklination des Radianten: 70,5°
Meteorstrom: sporadisch
Bahnelemente des Meteoroiden:
Periheldistanz: 0,948 AU
Exzentrizität: 1,022
Inklination: 61,1°
Länge des aufsteigenden Knotens: 273,3°
Argument des Perihels: 201,9°
Mittlere Anomalie: -0,0°
Epoche: 2020 DEC 24 21:34:30
orbit

Nicht-interaktives Diagramm | Interaktives Diagramm

position vs time
speed & acceleration