🇳🇴 🇬🇧 🇩🇪 🇨🇿 🇫🇮

Meteor, poloha: Alta 2020-12-24 22:13:23 UTC

Soubor KML  |  InteraktivnĂ­ mapa

Mapa zobrazuje dráhy meteoru. Světlejší čáry ukazují směry od pozorovacích stanic při objevení se meteoru a tmavší čáry, kde byl naposledy viděn. Modrá šipka značí viditelnou dráhu meteoru.

static map
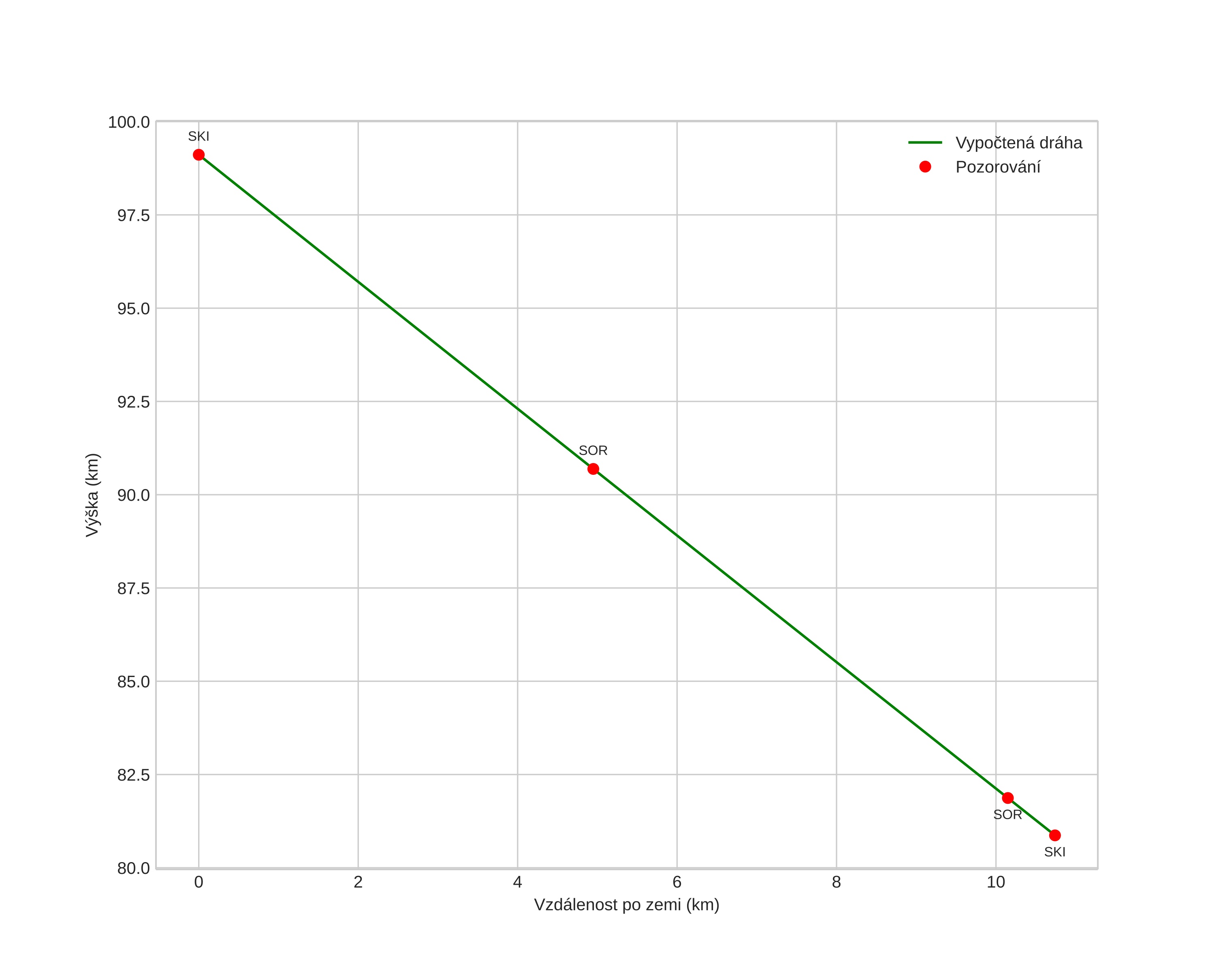
height profile
Atmosférická dráha meteoru:
Počáteční výška: 92,3 km
Konečná výška: 80,5 km
Počáteční poloha: 69,449N 24,099E
Konečná poloha: 69,388N 24,115E
Směr: 174,7°
Sklon: 59,9°
VstupnĂ­ rychlost: 31,9 km/s
Rektascenze radiantu: 19:12 (288,2°)
Deklinace radiantu: 79,1°
MeteorickĂ˝ roj: sporadickĂ˝
Elementy dráhy meteoroidu:
Vzdálenost v periheliu: 0,962 AU
Excentricita: 1,150
Sklon dráhy: 41,9°
Délka vzestupného uzlu: 273,3°
Argument perihelia: 196,5°
Střední anomálie: -0,7°
Epocha: 2020 DEC 24 22:13:23
orbit plot

NeinteraktivnĂ­ graf | InteraktivnĂ­ graf

position vs time
speed and acceleration