🇳🇴 🇬🇧 🇩🇪 🇨🇿 🇫🇮

Meteor Altan yllä 2020-12-24 22:13:23 UTC

KML-tiedosto  |  Interaktiivinen kartta

Kartta näyttää meteorin suuntahavainnot. Vaaleammat viivat näyttävät suunnat havaintoasemilta meteorin ilmestyessä, ja tummemmat viivat näyttävät, missä se viimeksi nähtiin. Sininen nuoli näyttää meteorin näkyvän lennon.

static map
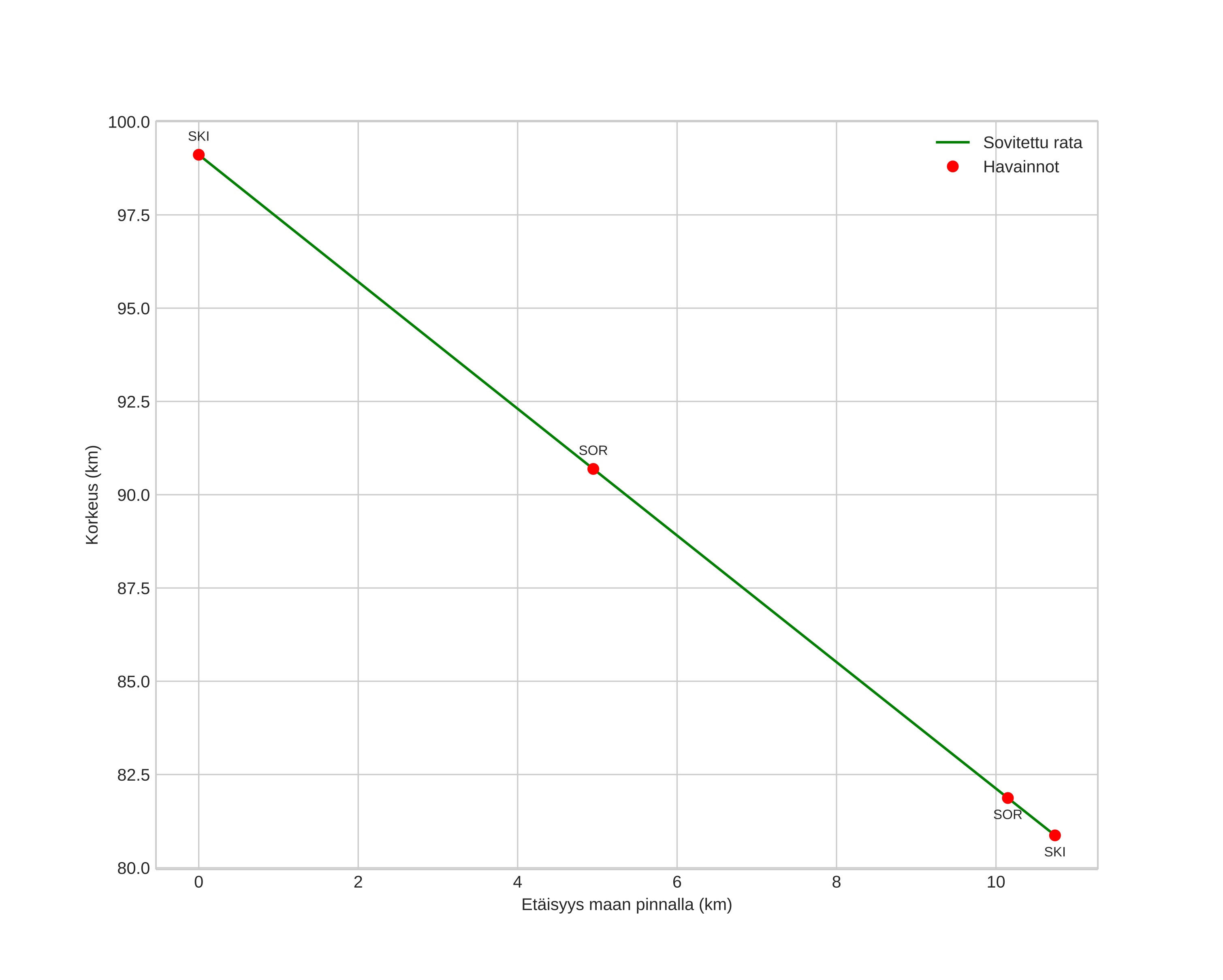
height profile
Meteorin ilmakehärata:
Alkukorkeus: 92,3 km
Loppukorkeus: 80,5 km
Alkupiste: 69,449N 24,099E
Loppupiste: 69,388N 24,115E
Suunta: 174,7°
Kallistuskulma: 59,9°
Tulonopeus: 31,9 km/s
Radiantin R,A,: 19:12 (288,2°)
Radiantin Dekl,: 79,1°
Meteoriparvi: Sporadinen
Meteoroidin rataelementit:
Perihelietäisyys: 0,962 AU
Eksentrisyys: 1,150
Inklinaatio: 41,9°
Nousevan solmun pituus: 273,3°
Perihelin argumentti: 196,5°
Keskianomalia: -0,7°
Epookki: 2020 DEC 24 22:13:23
orbit plot

Ei-interaktiivinen kuvaaja | Interaktiivinen kuvaaja

position vs time
speed and acceleration