🇳🇴 🇬🇧 🇩🇪 🇨🇿 🇫🇮

Meteor, poloha: Glommen 2020-12-25 00:08:10 UTC

Soubor KML  |  InteraktivnĂ­ mapa

Mapa zobrazuje dráhy meteoru. Světlejší čáry ukazují směry od pozorovacích stanic při objevení se meteoru a tmavší čáry, kde byl naposledy viděn. Modrá šipka značí viditelnou dráhu meteoru.

static map
height profile
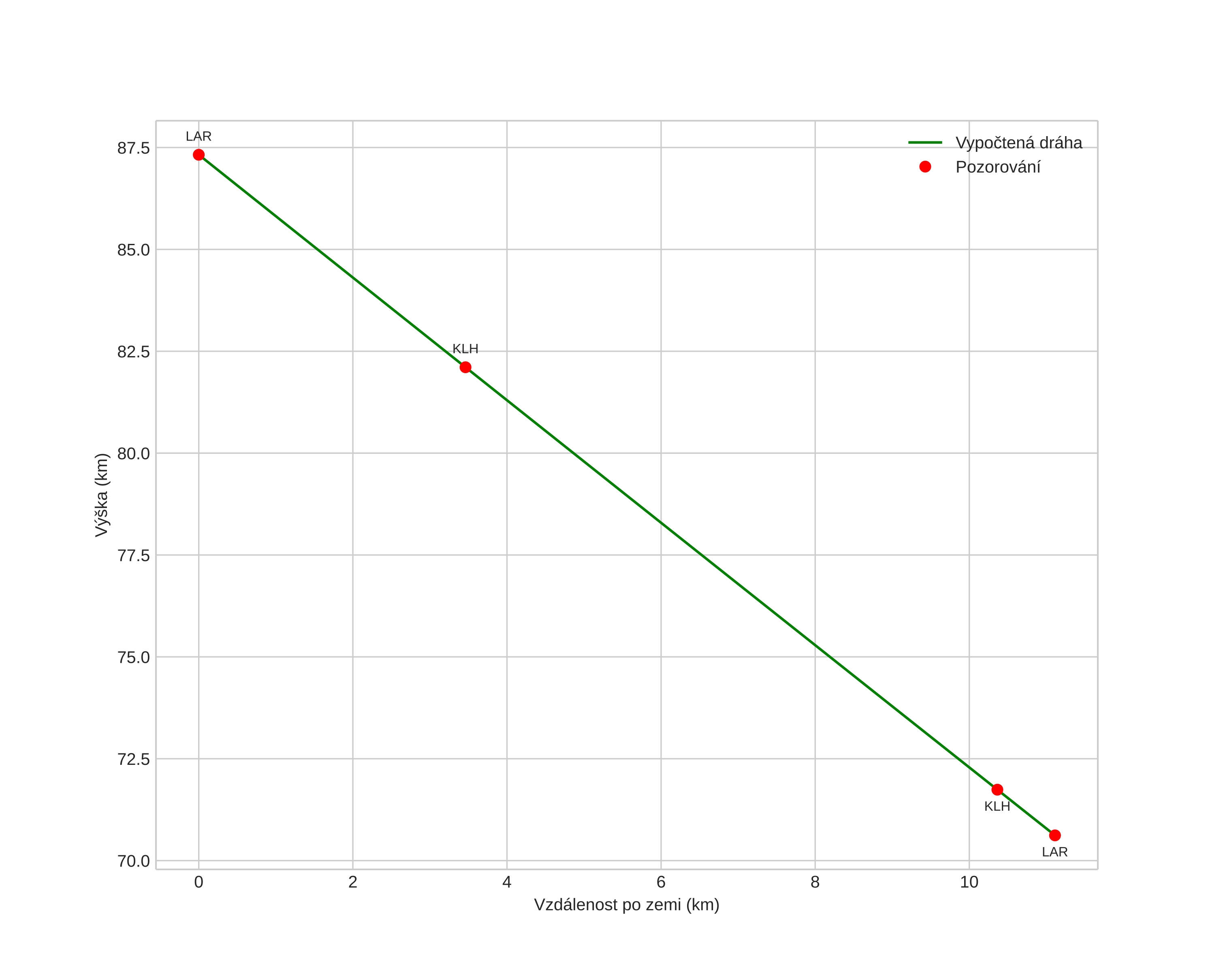
Atmosférická dráha meteoru:
Počáteční výška: 87,3 km
Konečná výška: 71,8 km
Počáteční poloha: 56,800N 12,203E
Konečná poloha: 56,891N 12,238E
Směr: 11,8°
Sklon: 56,5°
VstupnĂ­ rychlost: 31,2 km/s
Rektascenze radiantu: 06:40 (100,1°)
Deklinace radiantu: 22,4°
MeteorickĂ˝ roj: sporadickĂ˝
Elementy dráhy meteoroidu:
Vzdálenost v periheliu: 0,427 AU
Excentricita: 0,898
Sklon dráhy: 0,8°
Délka vzestupného uzlu: 93,6°
Argument perihelia: 101,1°
Střední anomálie: 355,4°
Epocha: 2020 DEC 25 00:08:10
orbit plot

NeinteraktivnĂ­ graf | InteraktivnĂ­ graf

position vs time
speed and acceleration