🇳🇴 🇬🇧 🇩🇪 🇨🇿 🇫🇮

Meteor Glommenin yllä 2020-12-25 00:08:10 UTC

KML-tiedosto  |  Interaktiivinen kartta

Kartta näyttää meteorin suuntahavainnot. Vaaleammat viivat näyttävät suunnat havaintoasemilta meteorin ilmestyessä, ja tummemmat viivat näyttävät, missä se viimeksi nähtiin. Sininen nuoli näyttää meteorin näkyvän lennon.

static map
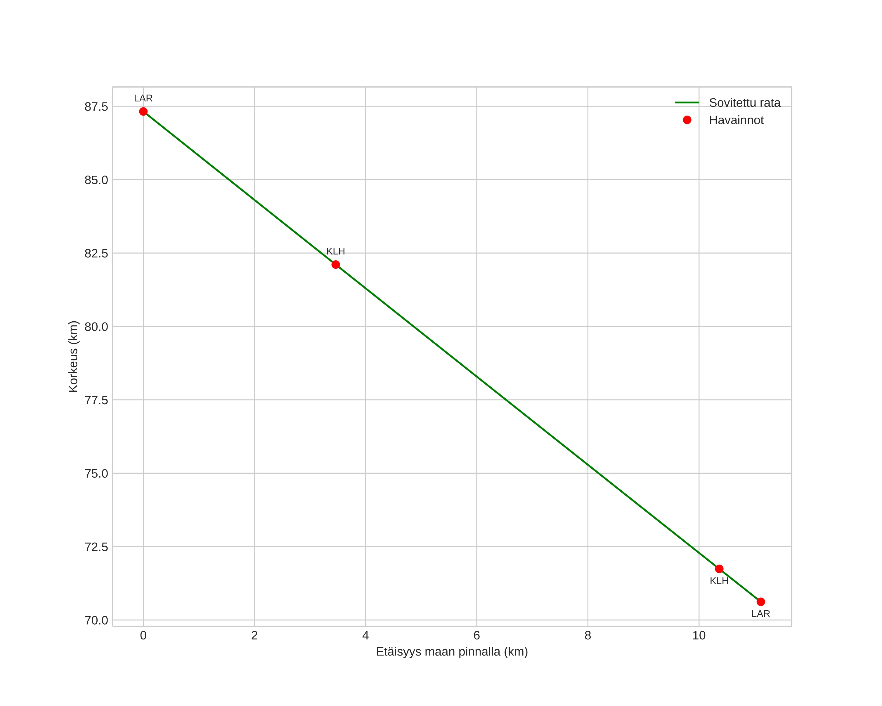
height profile
Meteorin ilmakehärata:
Alkukorkeus: 87,3 km
Loppukorkeus: 71,8 km
Alkupiste: 56,800N 12,203E
Loppupiste: 56,891N 12,238E
Suunta: 11,8°
Kallistuskulma: 56,5°
Tulonopeus: 31,2 km/s
Radiantin R,A,: 06:40 (100,1°)
Radiantin Dekl,: 22,4°
Meteoriparvi: Sporadinen
Meteoroidin rataelementit:
Perihelietäisyys: 0,427 AU
Eksentrisyys: 0,898
Inklinaatio: 0,8°
Nousevan solmun pituus: 93,6°
Perihelin argumentti: 101,1°
Keskianomalia: 355,4°
Epookki: 2020 DEC 25 00:08:10
orbit plot

Ei-interaktiivinen kuvaaja | Interaktiivinen kuvaaja

position vs time
speed and acceleration