🇳🇴 🇬🇧 🇩🇪 🇨🇿 🇫🇮

Meteor, poloha: Smögen 2020-12-25 01:54:34 UTC

Soubor KML  |  InteraktivnĂ­ mapa

Mapa zobrazuje dráhy meteoru. Světlejší čáry ukazují směry od pozorovacích stanic při objevení se meteoru a tmavší čáry, kde byl naposledy viděn. Modrá šipka značí viditelnou dráhu meteoru.

static map
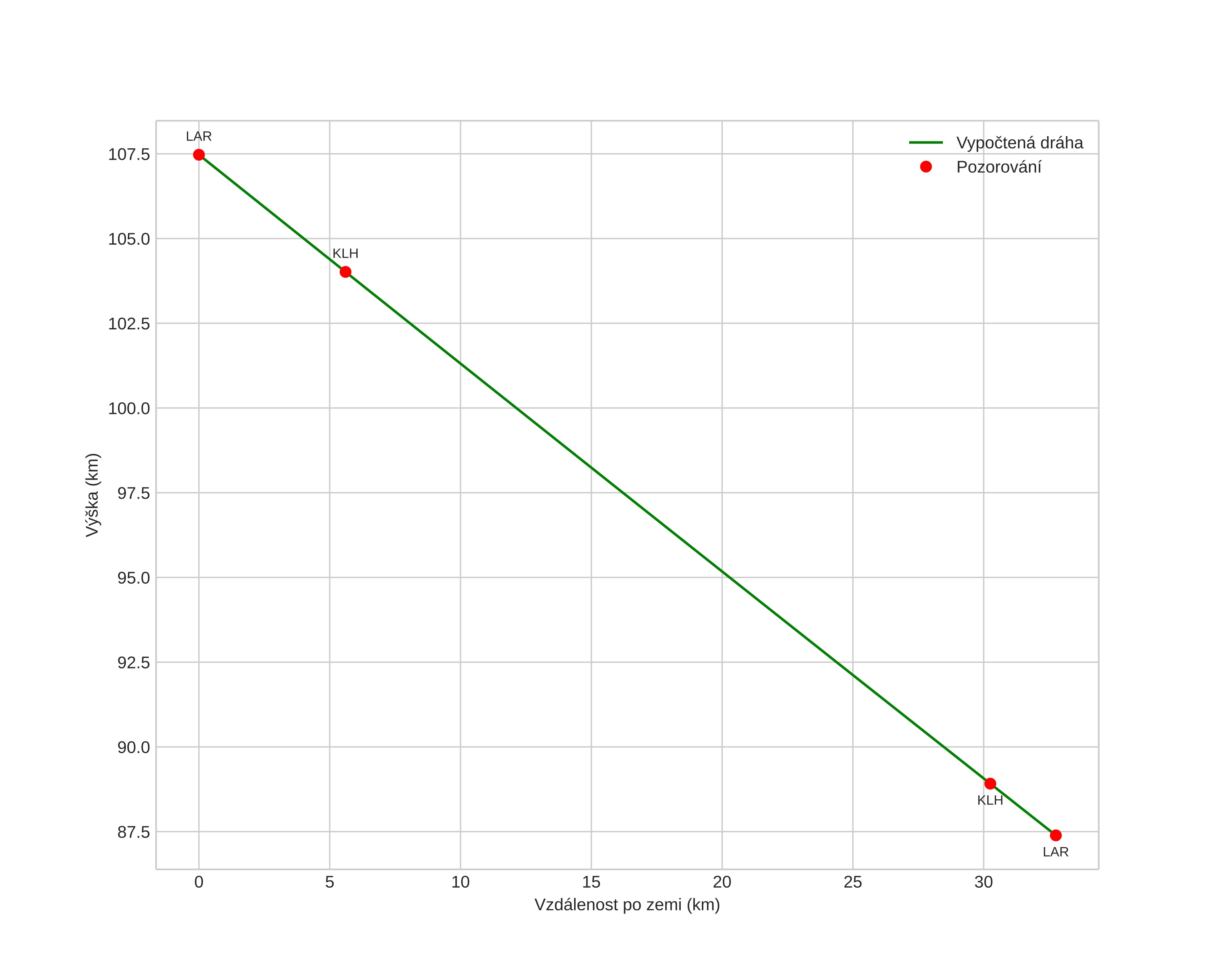
height profile
Atmosférická dráha meteoru:
Počáteční výška: 107,2 km
Konečná výška: 86,9 km
Počáteční poloha: 57,725N 11,108E
Konečná poloha: 58,019N 11,057E
Směr: 354,7°
Sklon: 31,7°
VstupnĂ­ rychlost: 56,1 km/s
Rektascenze radiantu: 09:10 (137,7°)
Deklinace radiantu: -1,0°
MeteorickĂ˝ roj: sporadickĂ˝
Elementy dráhy meteoroidu:
Vzdálenost v periheliu: 0,174 AU
Excentricita: 0,963
Sklon dráhy: 118,0°
Délka vzestupného uzlu: 93,4°
Argument perihelia: 132,7°
Střední anomálie: 356,6°
Epocha: 2020 DEC 25 01:54:34
orbit plot

NeinteraktivnĂ­ graf | InteraktivnĂ­ graf

position vs time
speed and acceleration