🇳🇴 🇬🇧 🇩🇪 🇨🇿 🇫🇮

Meteor Smögenin yllä 2020-12-25 01:54:34 UTC

KML-tiedosto  |  Interaktiivinen kartta

Kartta näyttää meteorin suuntahavainnot. Vaaleammat viivat näyttävät suunnat havaintoasemilta meteorin ilmestyessä, ja tummemmat viivat näyttävät, missä se viimeksi nähtiin. Sininen nuoli näyttää meteorin näkyvän lennon.

static map
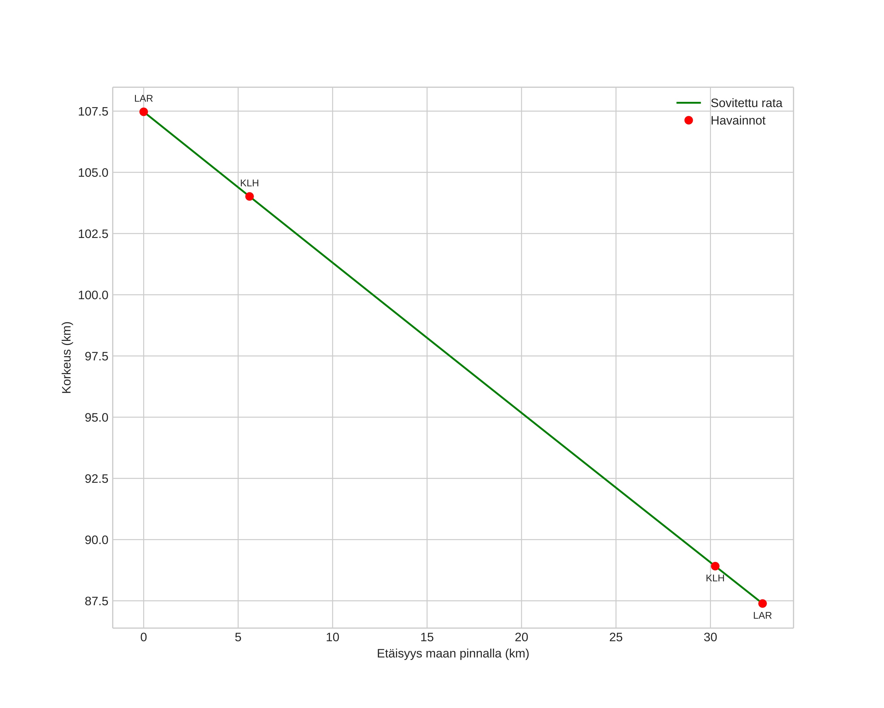
height profile
Meteorin ilmakehärata:
Alkukorkeus: 107,2 km
Loppukorkeus: 86,9 km
Alkupiste: 57,725N 11,108E
Loppupiste: 58,019N 11,057E
Suunta: 354,7°
Kallistuskulma: 31,7°
Tulonopeus: 56,1 km/s
Radiantin R,A,: 09:10 (137,7°)
Radiantin Dekl,: -1,0°
Meteoriparvi: Sporadinen
Meteoroidin rataelementit:
Perihelietäisyys: 0,174 AU
Eksentrisyys: 0,963
Inklinaatio: 118,0°
Nousevan solmun pituus: 93,4°
Perihelin argumentti: 132,7°
Keskianomalia: 356,6°
Epookki: 2020 DEC 25 01:54:34
orbit plot

Ei-interaktiivinen kuvaaja | Interaktiivinen kuvaaja

position vs time
speed and acceleration