🇳🇴 🇬🇧 🇩🇪 🇨🇿 🇫🇮

Meteor, poloha: Breivikbotn 2020-12-25 02:04:01 UTC

Soubor KML  |  InteraktivnĂ­ mapa

Mapa zobrazuje dráhy meteoru. Světlejší čáry ukazují směry od pozorovacích stanic při objevení se meteoru a tmavší čáry, kde byl naposledy viděn. Modrá šipka značí viditelnou dráhu meteoru.

static map
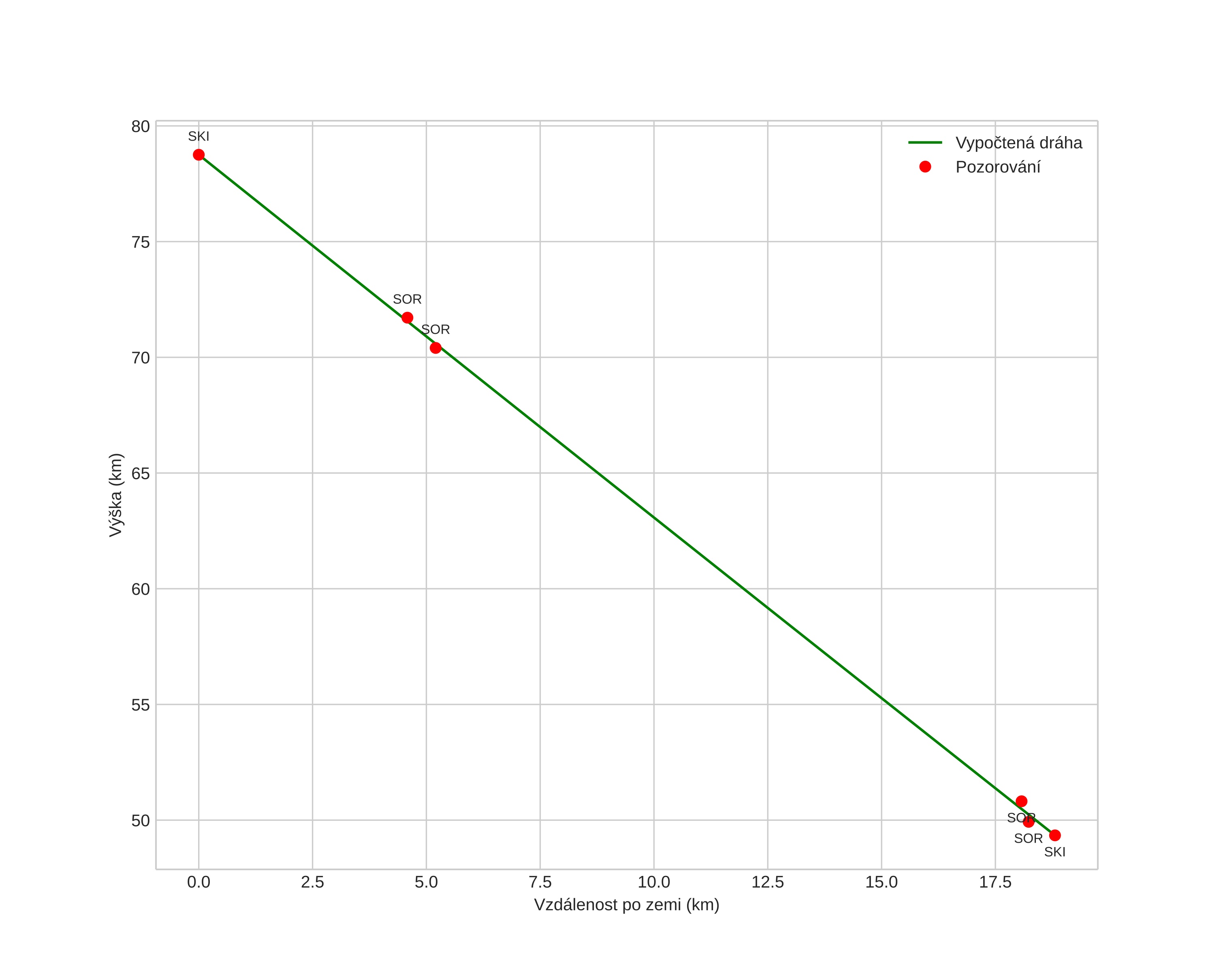
height profile
Atmosférická dráha meteoru:
Počáteční výška: 77,0 km
Konečná výška: 49,9 km
Počáteční poloha: 70,589N 21,104E
Konečná poloha: 70,537N 21,543E
Směr: 109,3°
Sklon: 57,6°
VstupnĂ­ rychlost: 18,7 km/s
Rektascenze radiantu: 04:17 (64,5°)
Deklinace radiantu: 55,3°
MeteorickĂ˝ roj: sporadickĂ˝
Elementy dráhy meteoroidu:
Vzdálenost v periheliu: 0,854 AU
Excentricita: 0,628
Sklon dráhy: 13,5°
Délka vzestupného uzlu: 273,4°
Argument perihelia: 228,9°
Střední anomálie: 350,4°
Epocha: 2020 DEC 25 02:04:01
orbit plot

NeinteraktivnĂ­ graf | InteraktivnĂ­ graf

position vs time
speed and acceleration