🇳🇴 🇬🇧 🇩🇪 🇨🇿 🇫🇮

Meteor Breivikbotnin yllä 2020-12-25 02:04:01 UTC

KML-tiedosto  |  Interaktiivinen kartta

Kartta näyttää meteorin suuntahavainnot. Vaaleammat viivat näyttävät suunnat havaintoasemilta meteorin ilmestyessä, ja tummemmat viivat näyttävät, missä se viimeksi nähtiin. Sininen nuoli näyttää meteorin näkyvän lennon.

static map
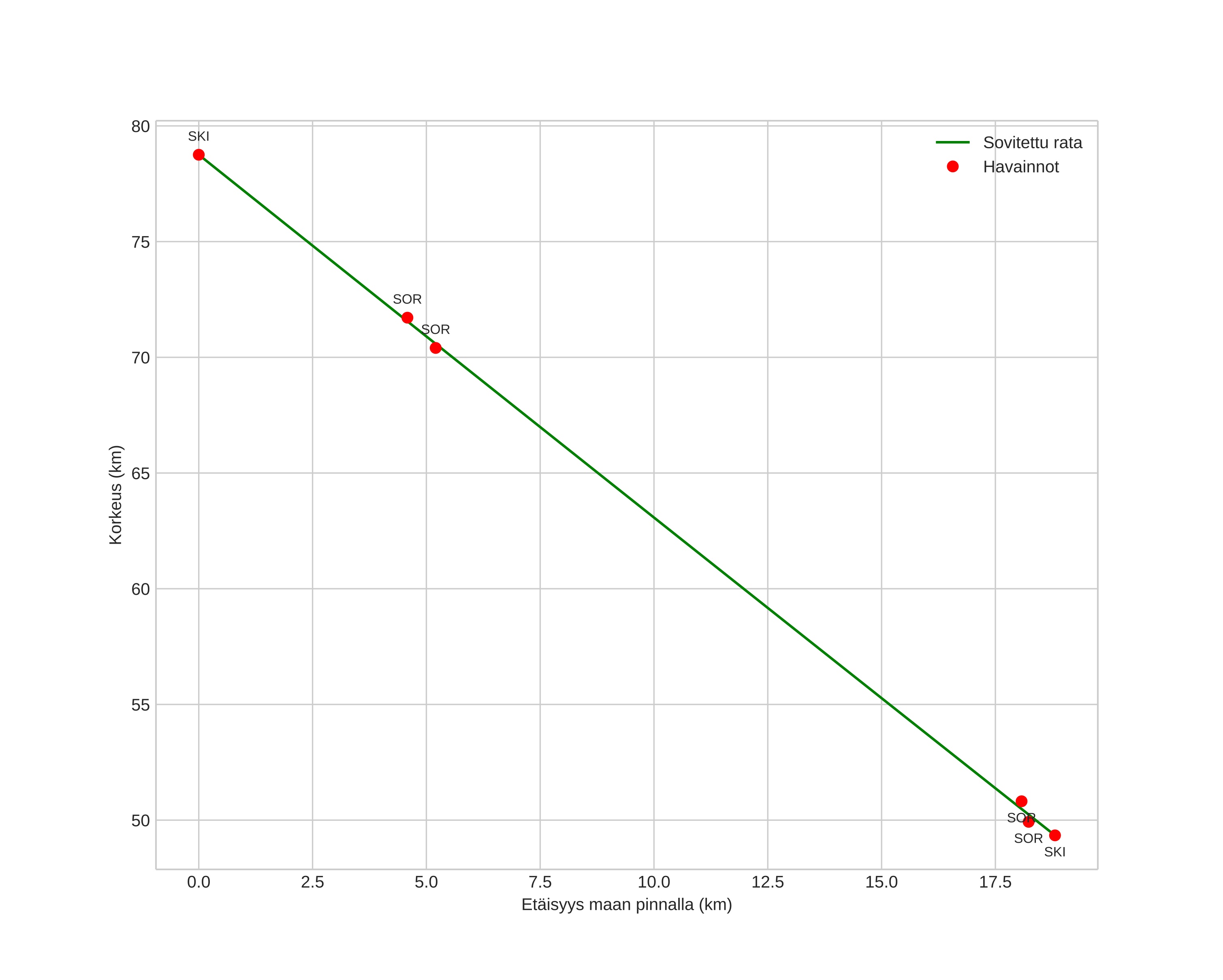
height profile
Meteorin ilmakehärata:
Alkukorkeus: 77,0 km
Loppukorkeus: 49,9 km
Alkupiste: 70,589N 21,104E
Loppupiste: 70,537N 21,543E
Suunta: 109,3°
Kallistuskulma: 57,6°
Tulonopeus: 18,7 km/s
Radiantin R,A,: 04:17 (64,5°)
Radiantin Dekl,: 55,3°
Meteoriparvi: Sporadinen
Meteoroidin rataelementit:
Perihelietäisyys: 0,854 AU
Eksentrisyys: 0,628
Inklinaatio: 13,5°
Nousevan solmun pituus: 273,4°
Perihelin argumentti: 228,9°
Keskianomalia: 350,4°
Epookki: 2020 DEC 25 02:04:01
orbit plot

Ei-interaktiivinen kuvaaja | Interaktiivinen kuvaaja

position vs time
speed and acceleration