🇳🇴 🇬🇧 🇩🇪 🇨🇿 🇫🇮

Meteor, poloha: Ă…mli 2020-12-25 03:17:23 UTC

Soubor KML  |  InteraktivnĂ­ mapa

Mapa zobrazuje dráhy meteoru. Světlejší čáry ukazují směry od pozorovacích stanic při objevení se meteoru a tmavší čáry, kde byl naposledy viděn. Modrá šipka značí viditelnou dráhu meteoru.

static map
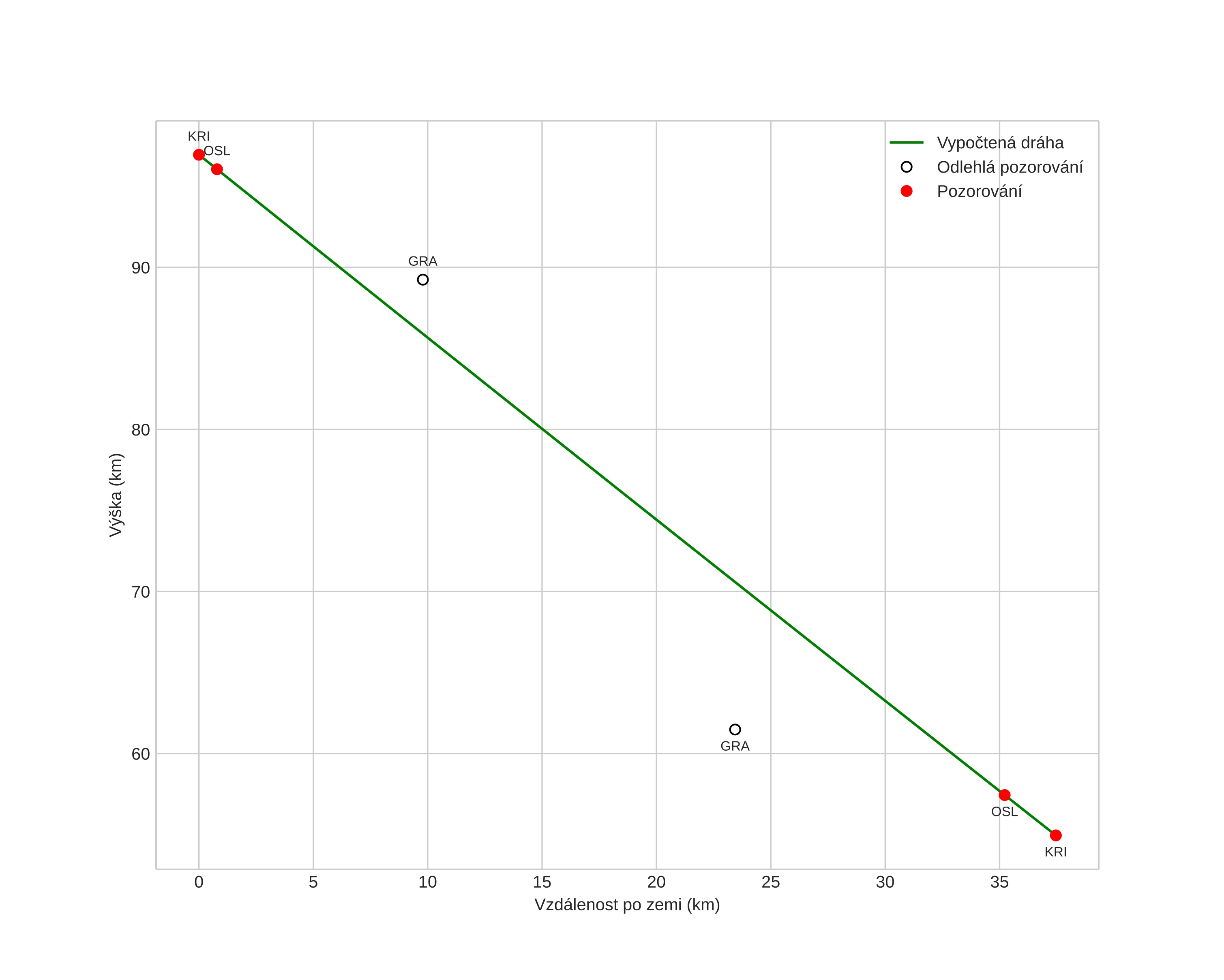
height profile
Atmosférická dráha meteoru:
Počáteční výška: 97,4 km
Konečná výška: 55,0 km
Počáteční poloha: 58,921N 9,004E
Konečná poloha: 58,763N 8,418E
Směr: 242,8°
Sklon: 48,1°
VstupnĂ­ rychlost: 38,0 km/s
Rektascenze radiantu: 15:25 (231,4°)
Deklinace radiantu: 52,3°
MeteorickĂ˝ roj: sporadickĂ˝
Elementy dráhy meteoroidu:
Vzdálenost v periheliu: 0,971 AU
Excentricita: 0,529
Sklon dráhy: 63,8°
Délka vzestupného uzlu: 273,5°
Argument perihelia: 164,2°
Střední anomálie: 4,2°
Epocha: 2020 DEC 25 03:17:23
orbit plot

NeinteraktivnĂ­ graf | InteraktivnĂ­ graf

position vs time
speed and acceleration