🇳🇴 🇬🇧 🇩🇪 🇨🇿 🇫🇮

Meteor Åmlin yllä 2020-12-25 03:17:23 UTC

KML-tiedosto  |  Interaktiivinen kartta

Kartta näyttää meteorin suuntahavainnot. Vaaleammat viivat näyttävät suunnat havaintoasemilta meteorin ilmestyessä, ja tummemmat viivat näyttävät, missä se viimeksi nähtiin. Sininen nuoli näyttää meteorin näkyvän lennon.

static map
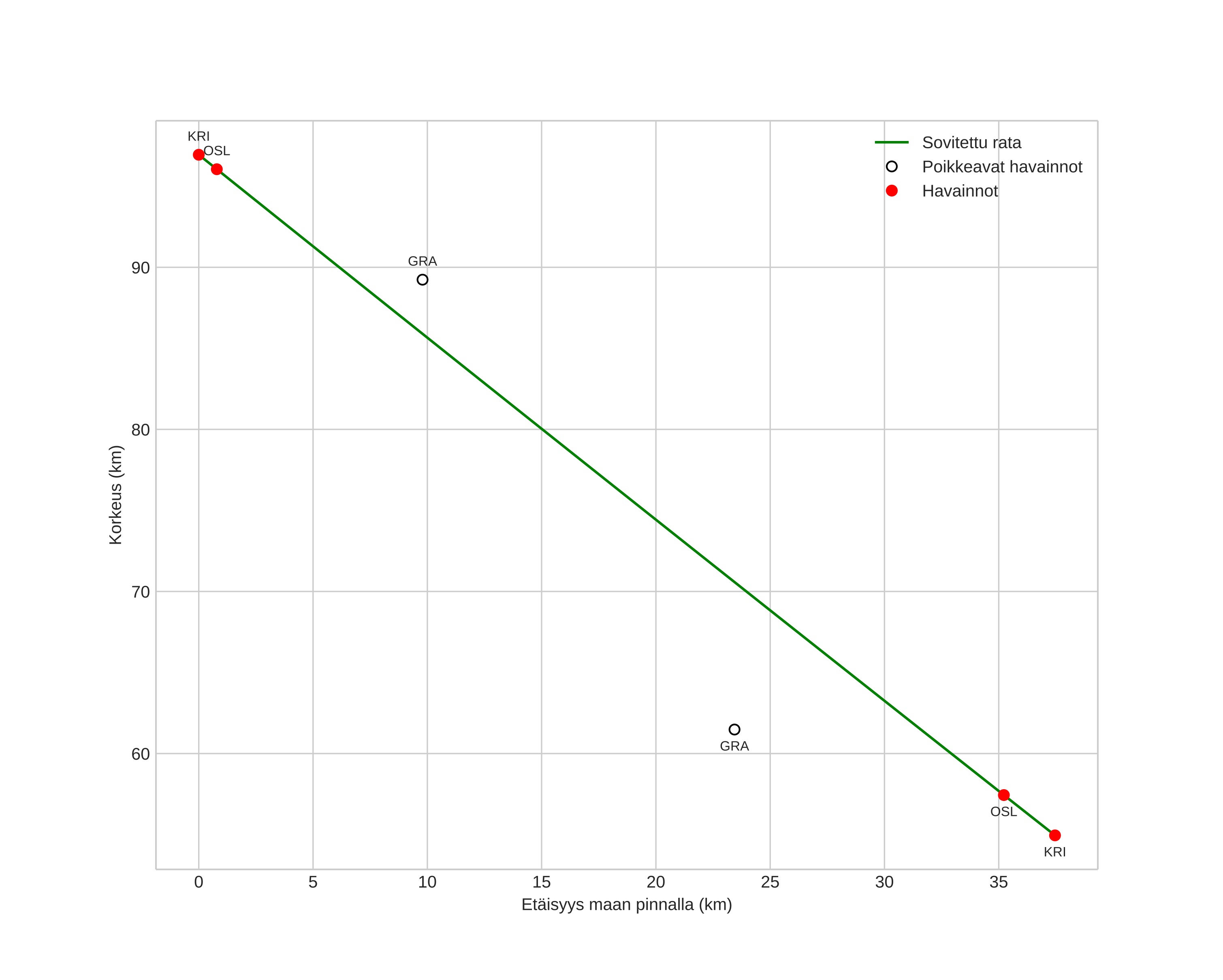
height profile
Meteorin ilmakehärata:
Alkukorkeus: 97,4 km
Loppukorkeus: 55,0 km
Alkupiste: 58,921N 9,004E
Loppupiste: 58,763N 8,418E
Suunta: 242,8°
Kallistuskulma: 48,1°
Tulonopeus: 38,0 km/s
Radiantin R,A,: 15:25 (231,4°)
Radiantin Dekl,: 52,3°
Meteoriparvi: Sporadinen
Meteoroidin rataelementit:
Perihelietäisyys: 0,971 AU
Eksentrisyys: 0,529
Inklinaatio: 63,8°
Nousevan solmun pituus: 273,5°
Perihelin argumentti: 164,2°
Keskianomalia: 4,2°
Epookki: 2020 DEC 25 03:17:23
orbit plot

Ei-interaktiivinen kuvaaja | Interaktiivinen kuvaaja

position vs time
speed and acceleration