🇳🇴 🇬🇧 🇩🇪 🇨🇿 🇫🇮

Meteor, poloha: HenĂĄn 2020-12-25 04:12:38 UTC

Soubor KML  |  InteraktivnĂ­ mapa

Mapa zobrazuje dráhy meteoru. Světlejší čáry ukazují směry od pozorovacích stanic při objevení se meteoru a tmavší čáry, kde byl naposledy viděn. Modrá šipka značí viditelnou dráhu meteoru.

static map
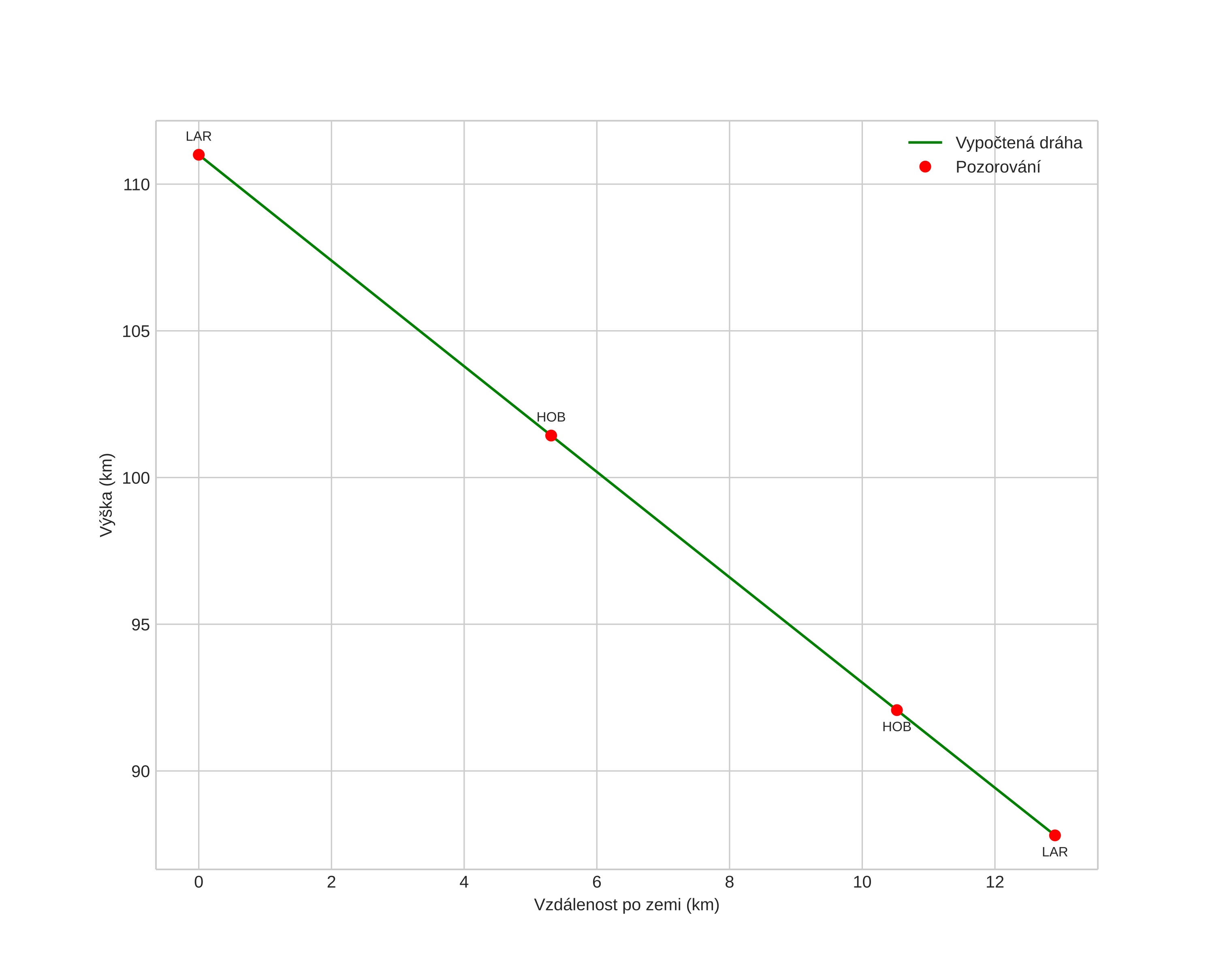
height profile
Atmosférická dráha meteoru:
Počáteční výška: 110,9 km
Konečná výška: 87,7 km
Počáteční poloha: 58,057N 11,653E
Konečná poloha: 58,173N 11,669E
Směr: 4,2°
Sklon: 60,9°
VstupnĂ­ rychlost: 65,0 km/s
Rektascenze radiantu: 11:03 (166,0°)
Deklinace radiantu: 28,7°
MeteorickĂ˝ roj: desember-leonis-minoridene
Elementy dráhy meteoroidu:
Vzdálenost v periheliu: 0,559 AU
Excentricita: 1,012
Sklon dráhy: 134,7°
Délka vzestupného uzlu: 273,5°
Argument perihelia: 261,8°
Střední anomálie: -0,1°
Epocha: 2020 DEC 25 04:12:38
orbit plot

NeinteraktivnĂ­ graf | InteraktivnĂ­ graf

position vs time
speed and acceleration