🇳🇴 🇬🇧 🇩🇪 🇨🇿 🇫🇮

Meteor Henånin yllä 2020-12-25 04:12:38 UTC

KML-tiedosto  |  Interaktiivinen kartta

Kartta näyttää meteorin suuntahavainnot. Vaaleammat viivat näyttävät suunnat havaintoasemilta meteorin ilmestyessä, ja tummemmat viivat näyttävät, missä se viimeksi nähtiin. Sininen nuoli näyttää meteorin näkyvän lennon.

static map
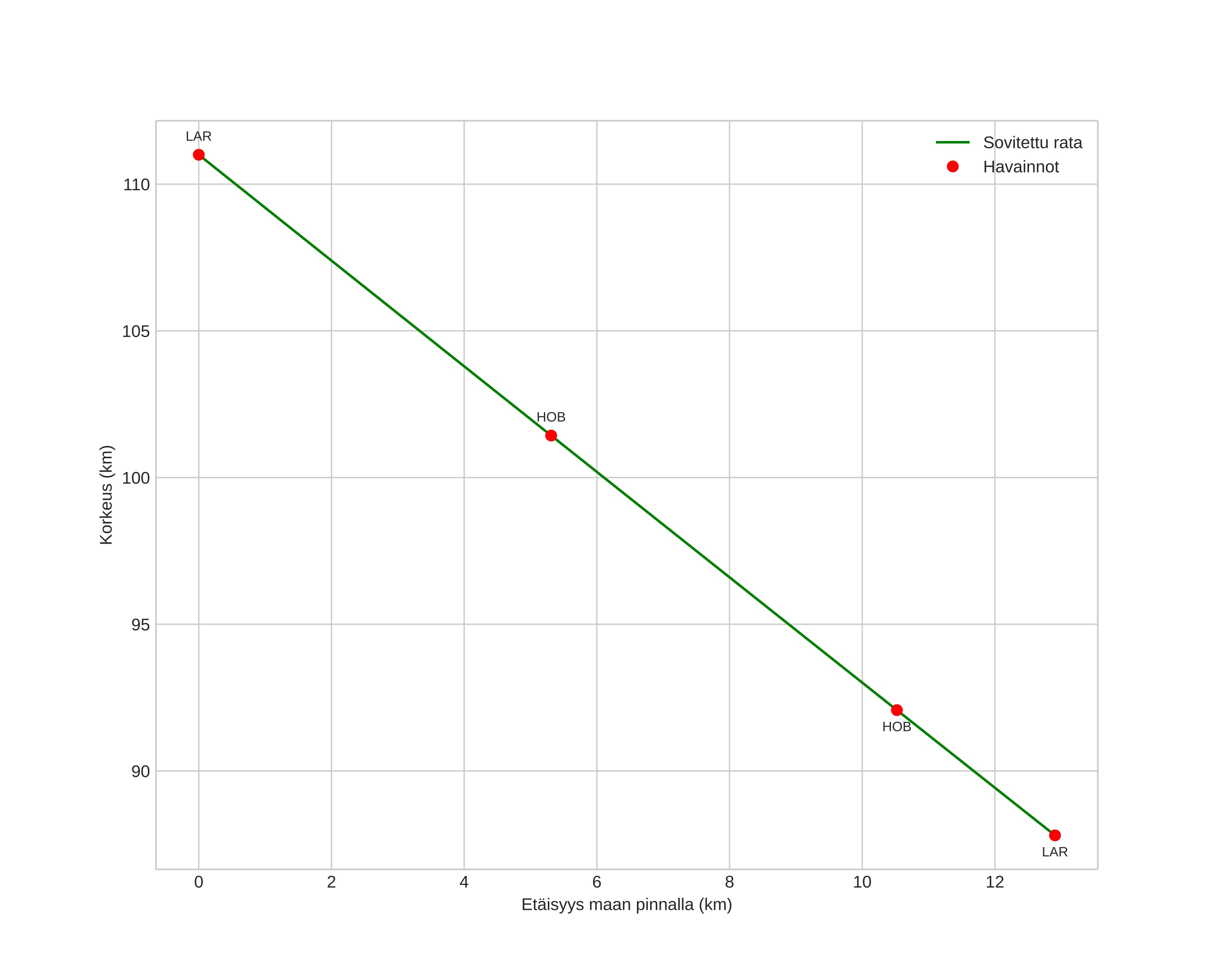
height profile
Meteorin ilmakehärata:
Alkukorkeus: 110,9 km
Loppukorkeus: 87,7 km
Alkupiste: 58,057N 11,653E
Loppupiste: 58,173N 11,669E
Suunta: 4,2°
Kallistuskulma: 60,9°
Tulonopeus: 65,0 km/s
Radiantin R,A,: 11:03 (166,0°)
Radiantin Dekl,: 28,7°
Meteoriparvi: desember-leonis-minoridene
Meteoroidin rataelementit:
Perihelietäisyys: 0,559 AU
Eksentrisyys: 1,012
Inklinaatio: 134,7°
Nousevan solmun pituus: 273,5°
Perihelin argumentti: 261,8°
Keskianomalia: -0,1°
Epookki: 2020 DEC 25 04:12:38
orbit plot

Ei-interaktiivinen kuvaaja | Interaktiivinen kuvaaja

position vs time
speed and acceleration