🇳🇴 🇬🇧 🇩🇪 🇨🇿 🇫🇮

Meteor, poloha: Sistranda 2021-01-01 03:07:37 UTC

Soubor KML  |  InteraktivnĂ­ mapa

Mapa zobrazuje dráhy meteoru. Světlejší čáry ukazují směry od pozorovacích stanic při objevení se meteoru a tmavší čáry, kde byl naposledy viděn. Modrá šipka značí viditelnou dráhu meteoru.

static map
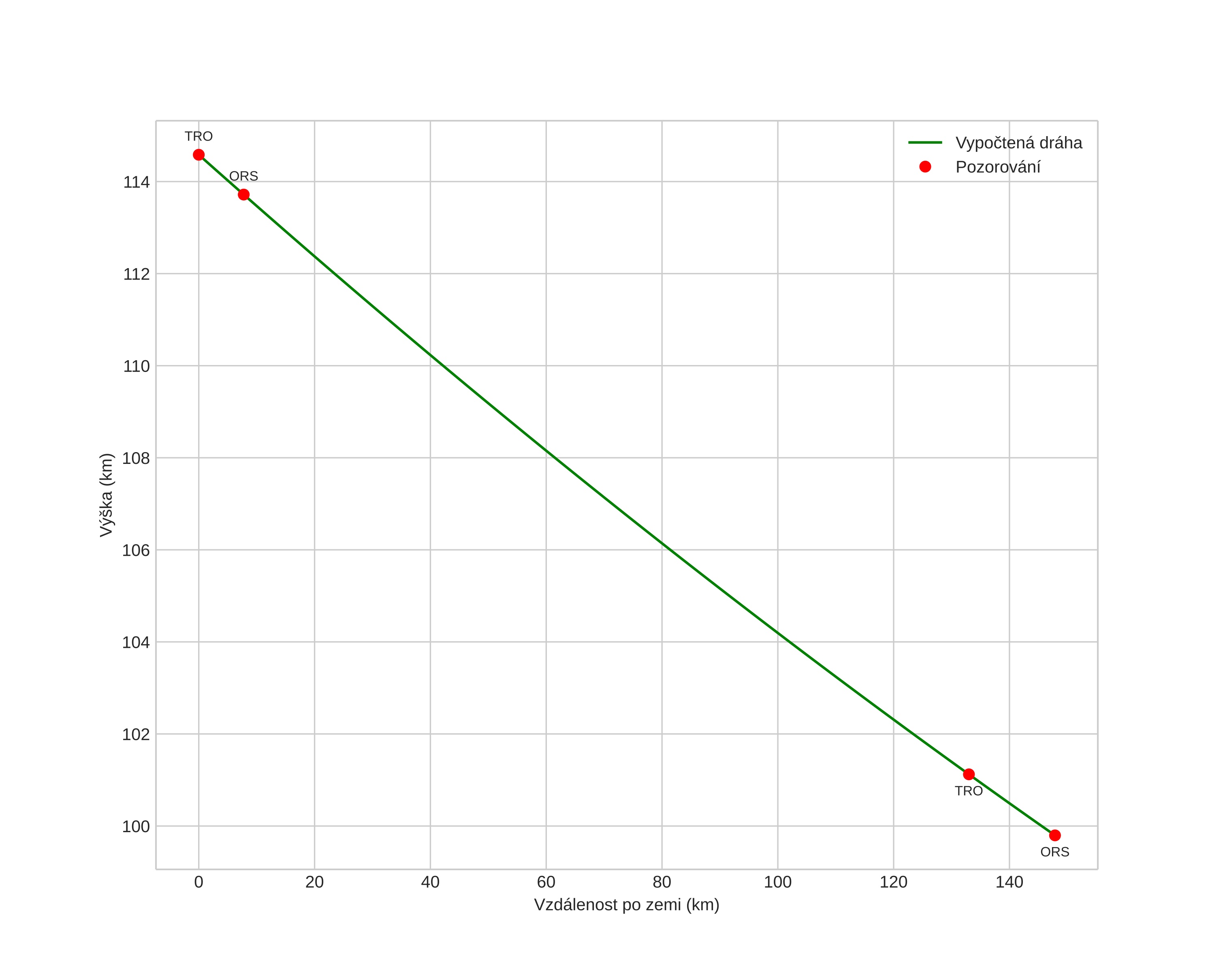
height profile
Atmosférická dráha meteoru:
Počáteční výška: 113,1 km
Konečná výška: 99,5 km
Počáteční poloha: 62,789N 9,704E
Konečná poloha: 63,882N 8,353E
Směr: 331,6°
Sklon: 5,6°
VstupnĂ­ rychlost: 72,3 km/s
Rektascenze radiantu: 12:28 (187,2°)
Deklinace radiantu: -18,8°
MeteorickĂ˝ roj: sporadickĂ˝
Elementy dráhy meteoroidu:
Vzdálenost v periheliu: 0,974 AU
Excentricita: 1,029
Sklon dráhy: 155,4°
Délka vzestupného uzlu: 100,6°
Argument perihelia: 348,9°
Střední anomálie: 0,0°
Epocha: 2021 JAN 01 03:07:37
orbit plot

NeinteraktivnĂ­ graf | InteraktivnĂ­ graf

position vs time
speed and acceleration