🇳🇴 🇬🇧 🇩🇪 🇨🇿 🇫🇮

Meteor over Sistranda 2021-01-01 03:07:37 UTC

KML file  |  Interactive map

The map shows the bearings for the meteor. The lighter lines show the directions from the observation sites at the meteor's appearance, and the darker lines show where it was last seen. The blue arrow indicates the visible path of the meteor.

static map
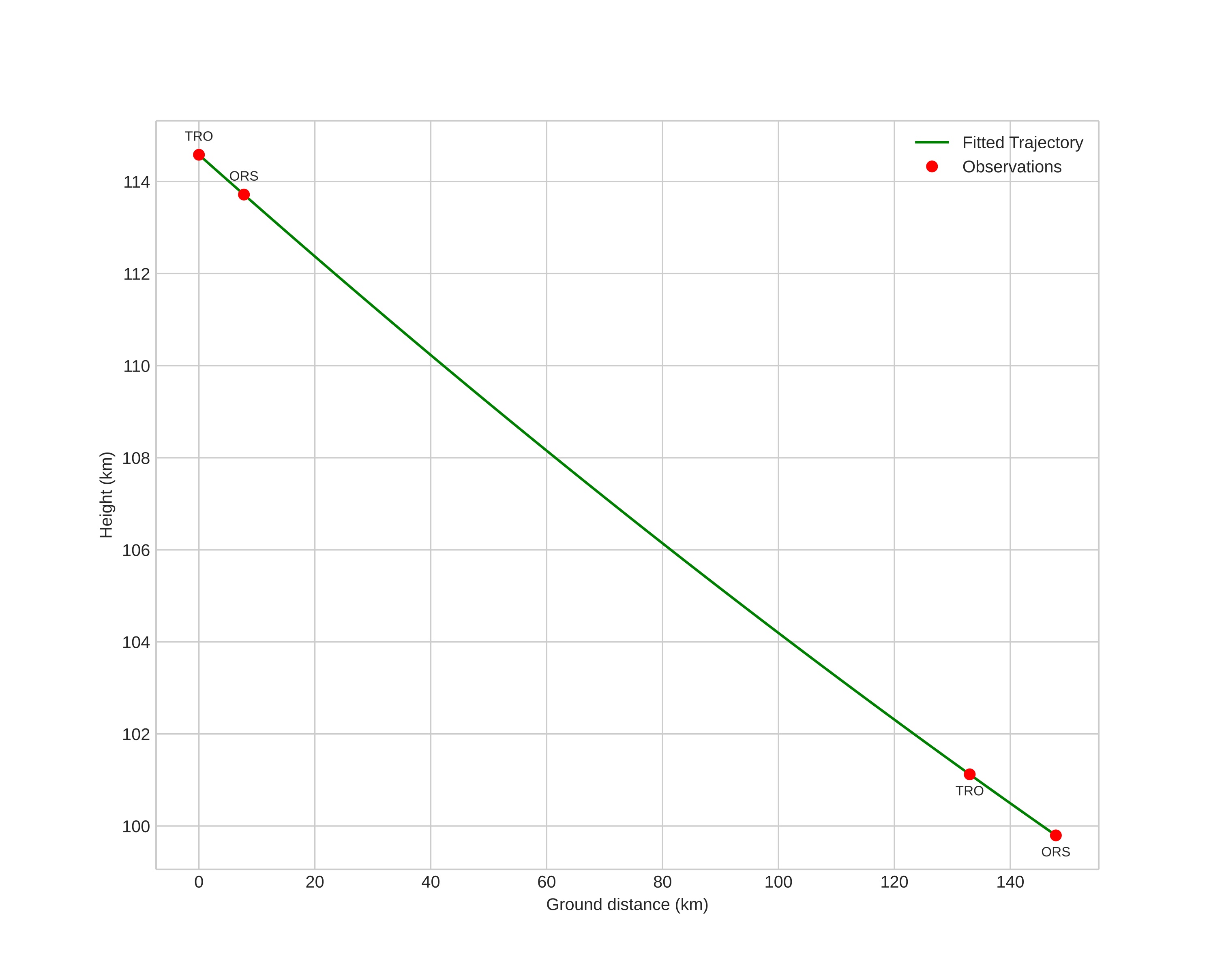
height profile
Meteor's Atmospheric Trajectory:
Start height: 113.1 km
End height: 99.5 km
Start position: 62.789N 9.704E
End position: 63.882N 8.353E
Direction: 331.6°
Inclination angle: 5.6°
Entry speed: 72.3 km/s
Radiant R.A.: 12:28 (187.2°)
Radiant Dec.: -18.8°
Meteor Shower: sporadic
Meteoroid's Orbital Elements:
Perihelion distance: 0.974 AU
Eccentricity: 1.029
Inclination: 155.4°
Long. of Asc. Node: 100.6°
Argument of Perihelion: 348.9°
Mean Anomaly: 0.0°
Epoch: 2021 JAN 01 03:07:37
orbit plot

Non-interactive plot | Interactive plot

position vs time
speed and acceleration

Orsta (ORS) cam1


gnomonic
Videos
• Gnomonic
• Gnomonic with coordinates
• Original
• Original with coordinates
Images
• Gnomonic
• Gnomonic with coordinates
• Uncorrected gnomonic with coordinates
• Gnomonic with labels
• Uncorrected gnomonic with labels
• Original
• Original with coordinates
• Original with mask
Text Files
• Detection
• Observation
• Coordinates
• Error Messages
• Log
Brightness

Trondheim (TRO) cam1

fireball
gnomonic
Videos
• Gnomonic
• Gnomonic with coordinates
• Original
• Original with coordinates
Images
• Gnomonic
• Gnomonic with coordinates
• Uncorrected gnomonic with coordinates
• Gnomonic with labels
• Uncorrected gnomonic with labels
• Original
• Original with coordinates
• Original with mask
Text Files
• Detection
• Observation
• Coordinates
• Error Messages
• Log
Brightness