🇳🇴 🇬🇧 🇩🇪 🇨🇿 🇫🇮

Meteor, poloha: Tjøme 2021-01-03 17:24:02 UTC

Soubor KML  |  InteraktivnĂ­ mapa

Mapa zobrazuje dráhy meteoru. Světlejší čáry ukazují směry od pozorovacích stanic při objevení se meteoru a tmavší čáry, kde byl naposledy viděn. Modrá šipka značí viditelnou dráhu meteoru.

static map
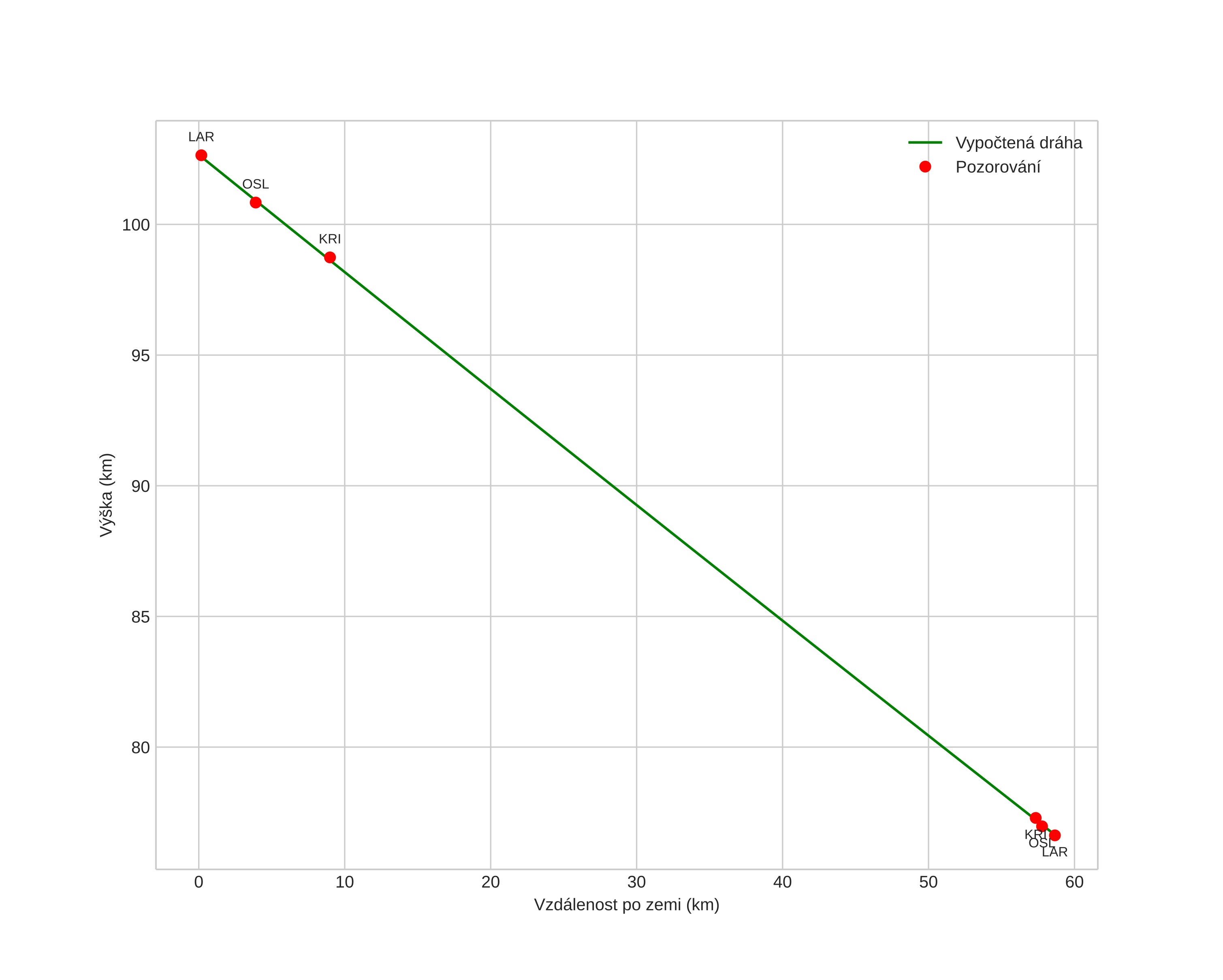
height profile
Atmosférická dráha meteoru:
Počáteční výška: 103,0 km
Konečná výška: 76,0 km
Počáteční poloha: 59,184N 10,223E
Konečná poloha: 58,681N 10,658E
Směr: 155,8°
Sklon: 23,8°
VstupnĂ­ rychlost: 43,7 km/s
Rektascenze radiantu: 15:22 (230,7°)
Deklinace radiantu: 49,5°
MeteorickĂ˝ roj: Kvadrantidy
Elementy dráhy meteoroidu:
Vzdálenost v periheliu: 0,979 AU
Excentricita: 0,762
Sklon dráhy: 72,7°
Délka vzestupného uzlu: 283,3°
Argument perihelia: 171,4°
Střední anomálie: 0,8°
Epocha: 2021 JAN 03 17:24:02
orbit plot

NeinteraktivnĂ­ graf | InteraktivnĂ­ graf

position vs time
speed and acceleration