🇳🇴 🇬🇧 🇩🇪 🇨🇿 🇫🇮

Meteor Tjømen yllä 2021-01-03 17:24:02 UTC

KML-tiedosto  |  Interaktiivinen kartta

Kartta näyttää meteorin suuntahavainnot. Vaaleammat viivat näyttävät suunnat havaintoasemilta meteorin ilmestyessä, ja tummemmat viivat näyttävät, missä se viimeksi nähtiin. Sininen nuoli näyttää meteorin näkyvän lennon.

static map
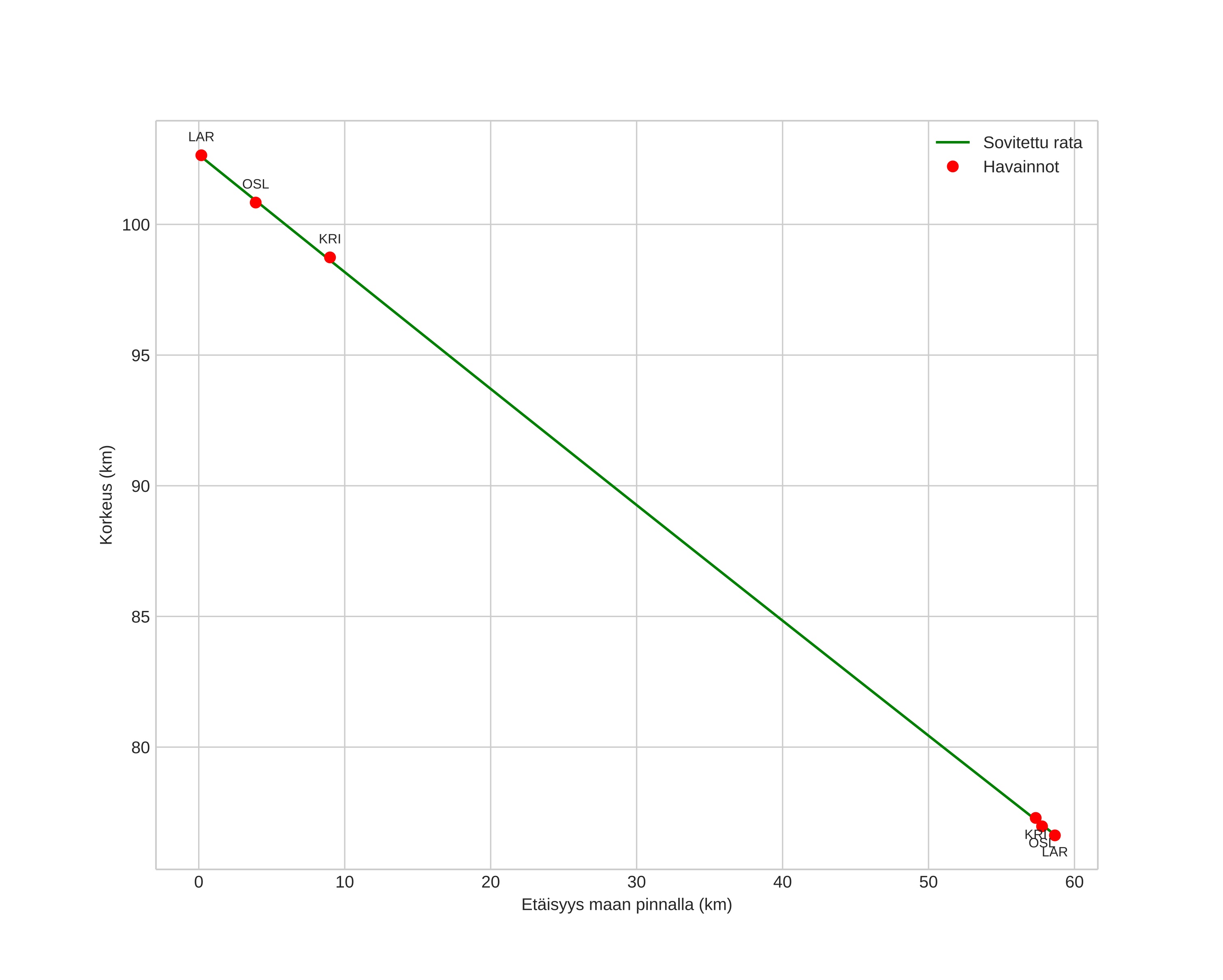
height profile
Meteorin ilmakehärata:
Alkukorkeus: 103,0 km
Loppukorkeus: 76,0 km
Alkupiste: 59,184N 10,223E
Loppupiste: 58,681N 10,658E
Suunta: 155,8°
Kallistuskulma: 23,8°
Tulonopeus: 43,7 km/s
Radiantin R,A,: 15:22 (230,7°)
Radiantin Dekl,: 49,5°
Meteoriparvi: Kvadrantidit
Meteoroidin rataelementit:
Perihelietäisyys: 0,979 AU
Eksentrisyys: 0,762
Inklinaatio: 72,7°
Nousevan solmun pituus: 283,3°
Perihelin argumentti: 171,4°
Keskianomalia: 0,8°
Epookki: 2021 JAN 03 17:24:02
orbit plot

Ei-interaktiivinen kuvaaja | Interaktiivinen kuvaaja

position vs time
speed and acceleration