🇳🇴 🇬🇧 🇩🇪 🇨🇿 🇫🇮

Meteor, poloha: Sand 2021-01-03 19:20:08 UTC

Soubor KML  |  InteraktivnĂ­ mapa

Mapa zobrazuje dráhy meteoru. Světlejší čáry ukazují směry od pozorovacích stanic při objevení se meteoru a tmavší čáry, kde byl naposledy viděn. Modrá šipka značí viditelnou dráhu meteoru.

static map
height profile
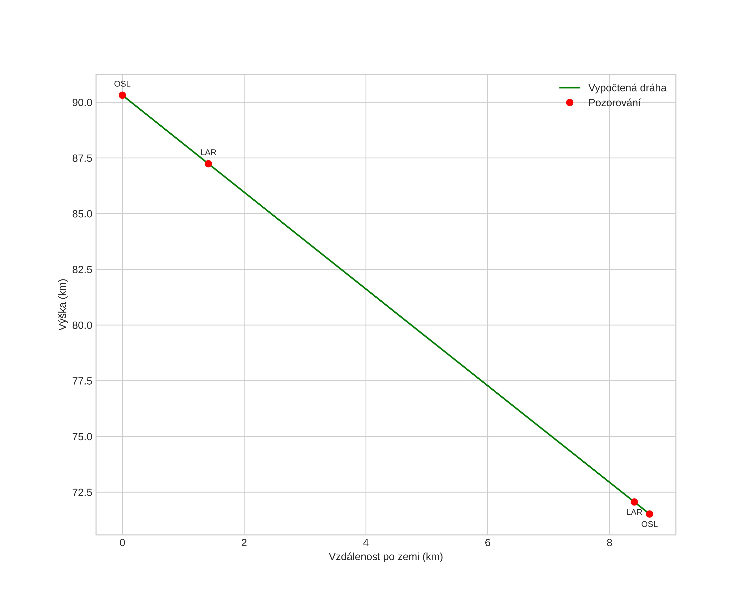
Atmosférická dráha meteoru:
Počáteční výška: 84,9 km
Konečná výška: 71,6 km
Počáteční poloha: 60,517N 11,641E
Konečná poloha: 60,467N 11,683E
Směr: 157,6°
Sklon: 65,7°
VstupnĂ­ rychlost: 23,8 km/s
Rektascenze radiantu: 22:52 (343,2°)
Deklinace radiantu: 78,4°
MeteorickĂ˝ roj: sporadickĂ˝
Elementy dráhy meteoroidu:
Vzdálenost v periheliu: 0,962 AU
Excentricita: 0,885
Sklon dráhy: 28,4°
Délka vzestupného uzlu: 283,4°
Argument perihelia: 197,6°
Střední anomálie: 359,5°
Epocha: 2021 JAN 03 19:20:08
orbit plot

NeinteraktivnĂ­ graf | InteraktivnĂ­ graf

position vs time
speed and acceleration