🇳🇴 🇬🇧 🇩🇪 🇨🇿 🇫🇮

Meteor Sandin yllä 2021-01-03 19:20:08 UTC

KML-tiedosto  |  Interaktiivinen kartta

Kartta näyttää meteorin suuntahavainnot. Vaaleammat viivat näyttävät suunnat havaintoasemilta meteorin ilmestyessä, ja tummemmat viivat näyttävät, missä se viimeksi nähtiin. Sininen nuoli näyttää meteorin näkyvän lennon.

static map
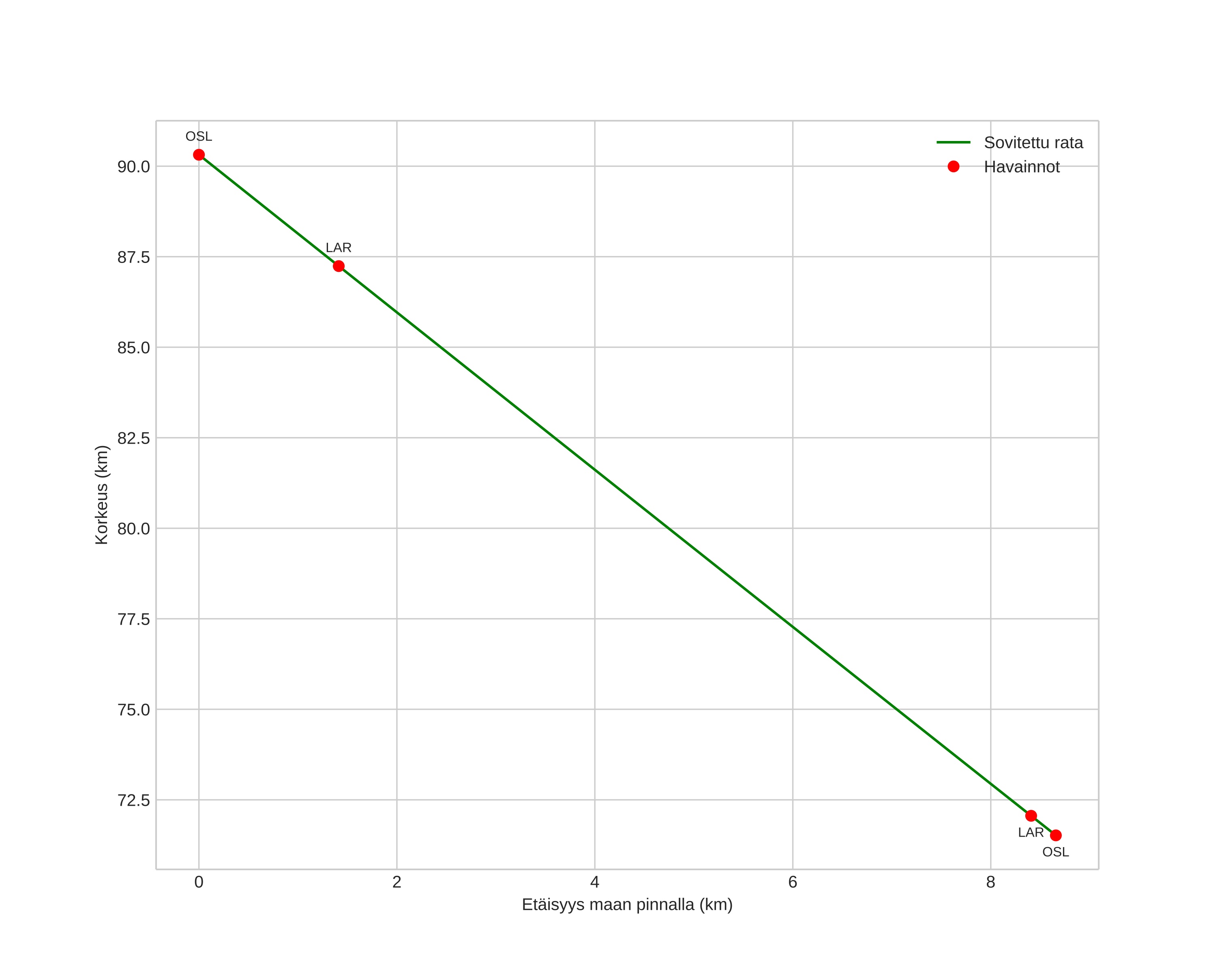
height profile
Meteorin ilmakehärata:
Alkukorkeus: 84,9 km
Loppukorkeus: 71,6 km
Alkupiste: 60,517N 11,641E
Loppupiste: 60,467N 11,683E
Suunta: 157,6°
Kallistuskulma: 65,7°
Tulonopeus: 23,8 km/s
Radiantin R,A,: 22:52 (343,2°)
Radiantin Dekl,: 78,4°
Meteoriparvi: Sporadinen
Meteoroidin rataelementit:
Perihelietäisyys: 0,962 AU
Eksentrisyys: 0,885
Inklinaatio: 28,4°
Nousevan solmun pituus: 283,4°
Perihelin argumentti: 197,6°
Keskianomalia: 359,5°
Epookki: 2021 JAN 03 19:20:08
orbit plot

Ei-interaktiivinen kuvaaja | Interaktiivinen kuvaaja

position vs time
speed and acceleration