🇳🇴 🇬🇧 🇩🇪 🇨🇿 🇫🇮

Meteor, poloha: Ă…rdalstangen 2021-01-03 20:53:58 UTC

Soubor KML  |  InteraktivnĂ­ mapa

Mapa zobrazuje dráhy meteoru. Světlejší čáry ukazují směry od pozorovacích stanic při objevení se meteoru a tmavší čáry, kde byl naposledy viděn. Modrá šipka značí viditelnou dráhu meteoru.

static map
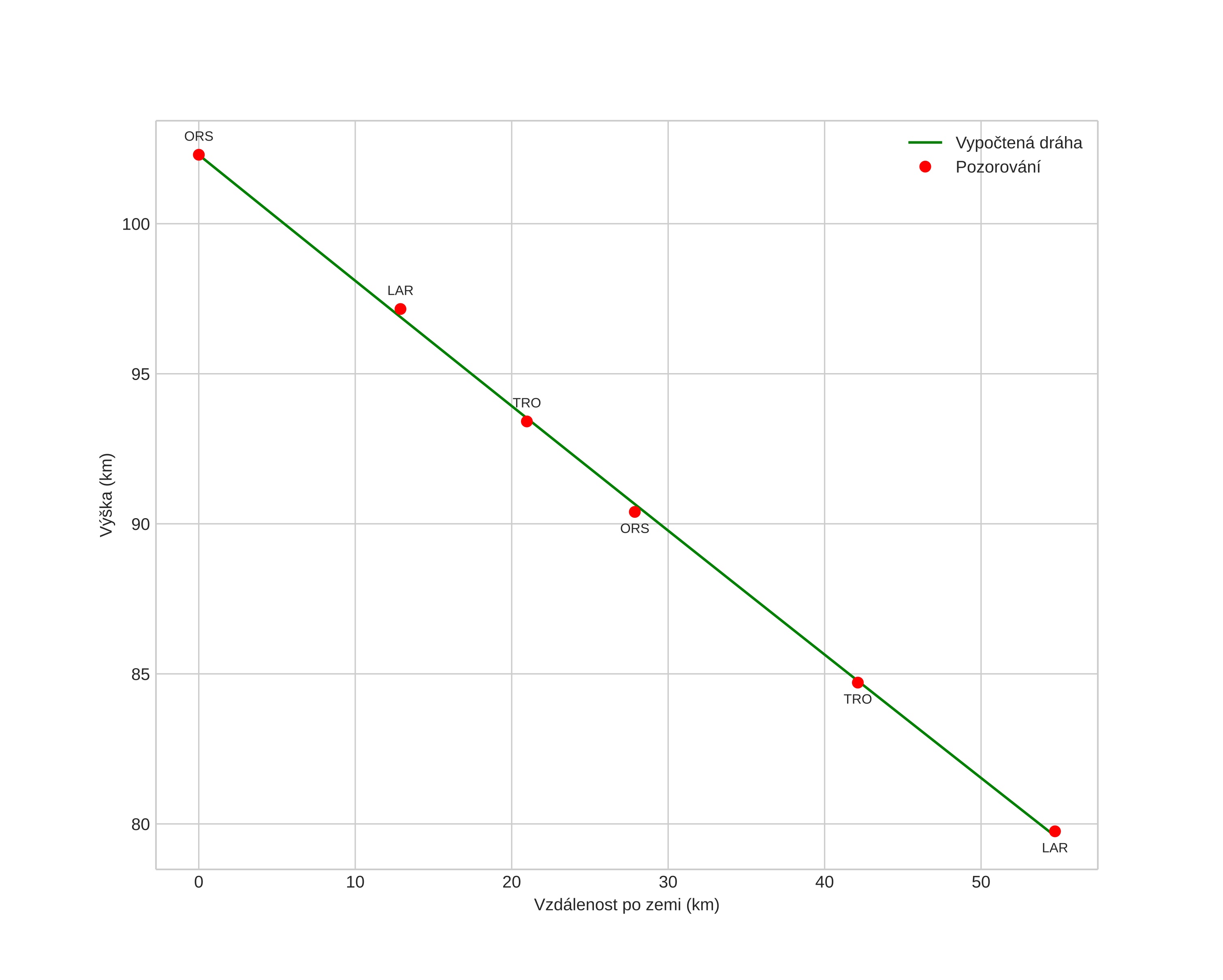
height profile
Atmosférická dráha meteoru:
Počáteční výška: 102,6 km
Konečná výška: 78,3 km
Počáteční poloha: 61,885N 7,787E
Konečná poloha: 61,378N 7,585E
Směr: 190,8°
Sklon: 23,0°
VstupnĂ­ rychlost: 42,4 km/s
Rektascenze radiantu: 15:18 (229,7°)
Deklinace radiantu: 49,2°
MeteorickĂ˝ roj: Kvadrantidy
Elementy dráhy meteoroidu:
Vzdálenost v periheliu: 0,979 AU
Excentricita: 0,640
Sklon dráhy: 71,8°
Délka vzestupného uzlu: 283,4°
Argument perihelia: 171,5°
Střední anomálie: 1,4°
Epocha: 2021 JAN 03 20:53:58
orbit plot

NeinteraktivnĂ­ graf | InteraktivnĂ­ graf

position vs time
speed and acceleration