🇳🇴 🇬🇧 🇩🇪 🇨🇿 🇫🇮

Meteor Årdalstangenin yllä 2021-01-03 20:53:58 UTC

KML-tiedosto  |  Interaktiivinen kartta

Kartta näyttää meteorin suuntahavainnot. Vaaleammat viivat näyttävät suunnat havaintoasemilta meteorin ilmestyessä, ja tummemmat viivat näyttävät, missä se viimeksi nähtiin. Sininen nuoli näyttää meteorin näkyvän lennon.

static map
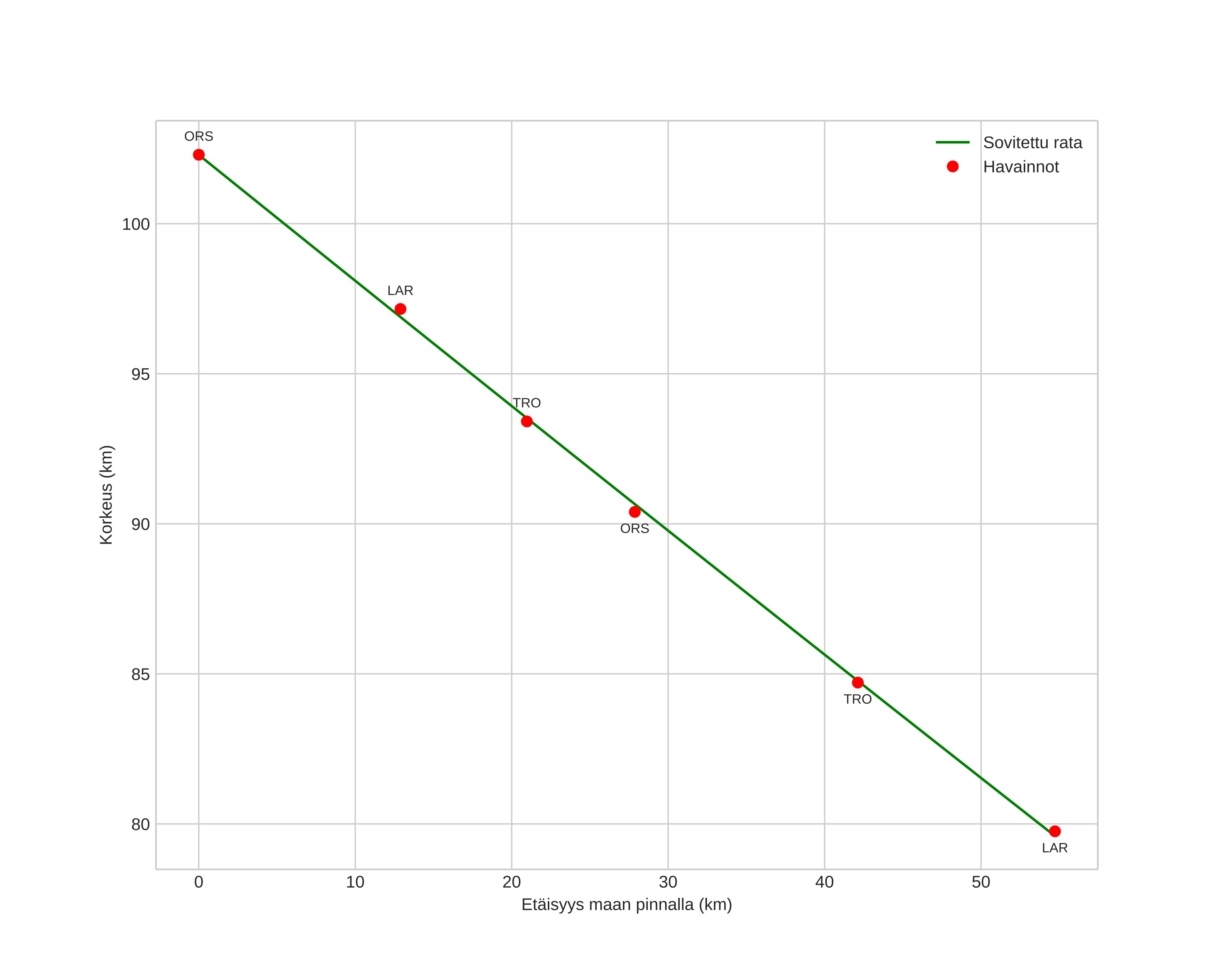
height profile
Meteorin ilmakehärata:
Alkukorkeus: 102,6 km
Loppukorkeus: 78,3 km
Alkupiste: 61,885N 7,787E
Loppupiste: 61,378N 7,585E
Suunta: 190,8°
Kallistuskulma: 23,0°
Tulonopeus: 42,4 km/s
Radiantin R,A,: 15:18 (229,7°)
Radiantin Dekl,: 49,2°
Meteoriparvi: Kvadrantidit
Meteoroidin rataelementit:
Perihelietäisyys: 0,979 AU
Eksentrisyys: 0,640
Inklinaatio: 71,8°
Nousevan solmun pituus: 283,4°
Perihelin argumentti: 171,5°
Keskianomalia: 1,4°
Epookki: 2021 JAN 03 20:53:58
orbit plot

Ei-interaktiivinen kuvaaja | Interaktiivinen kuvaaja

position vs time
speed and acceleration