🇳🇴 🇬🇧 🇩🇪 🇨🇿 🇫🇮

Meteor, poloha: FosnavĂĄg 2021-01-04 05:17:30 UTC

Soubor KML  |  InteraktivnĂ­ mapa

Mapa zobrazuje dráhy meteoru. Světlejší čáry ukazují směry od pozorovacích stanic při objevení se meteoru a tmavší čáry, kde byl naposledy viděn. Modrá šipka značí viditelnou dráhu meteoru.

static map
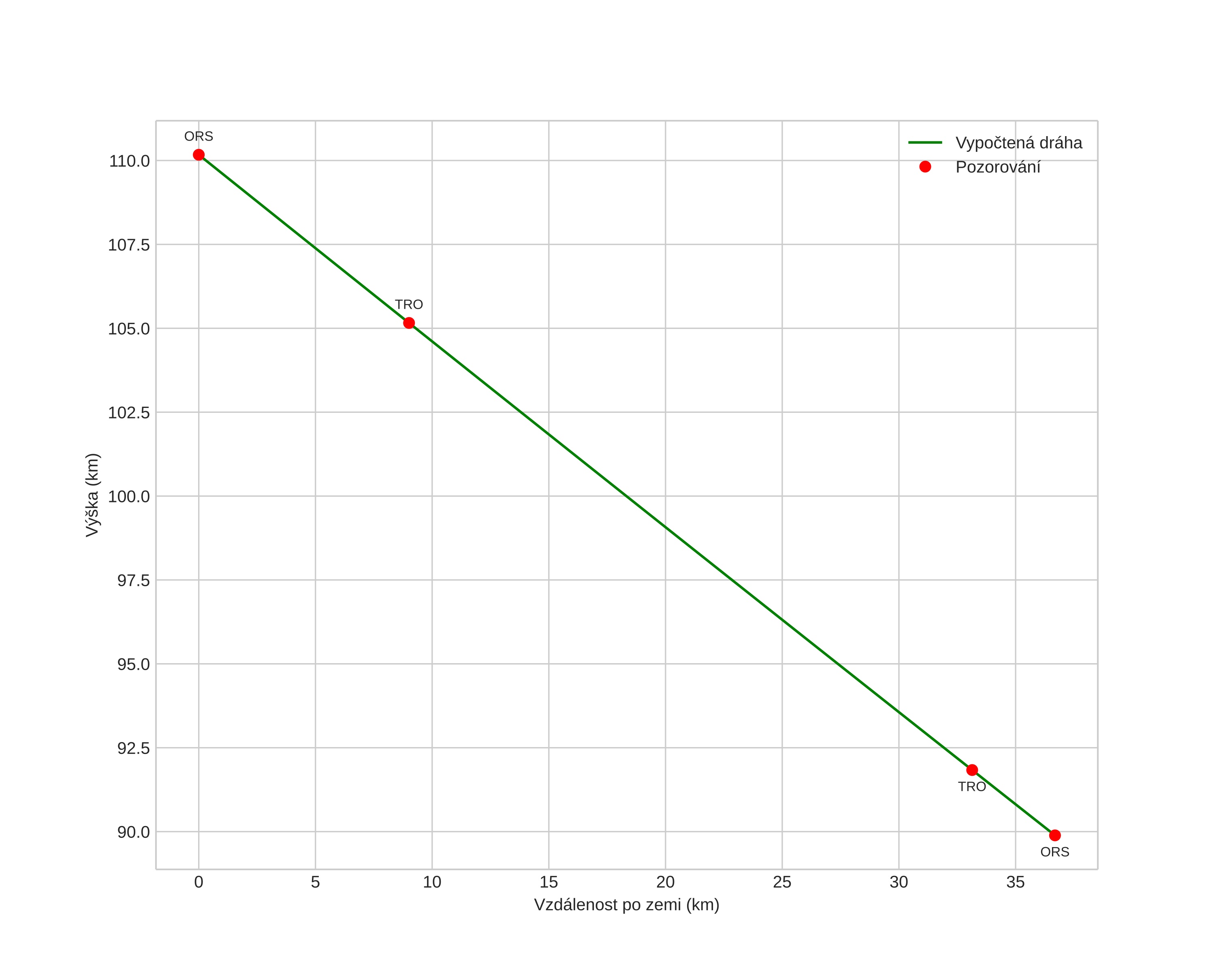
height profile
Atmosférická dráha meteoru:
Počáteční výška: 110,1 km
Konečná výška: 89,6 km
Počáteční poloha: 62,843N 5,995E
Konečná poloha: 62,909N 5,265E
Směr: 281,7°
Sklon: 28,5°
VstupnĂ­ rychlost: 45,9 km/s
Rektascenze radiantu: 17:03 (255,9°)
Deklinace radiantu: 19,3°
MeteorickĂ˝ roj: sporadickĂ˝
Elementy dráhy meteoroidu:
Vzdálenost v periheliu: 0,562 AU
Excentricita: 1,016
Sklon dráhy: 66,5°
Délka vzestupného uzlu: 283,8°
Argument perihelia: 98,7°
Střední anomálie: 0,2°
Epocha: 2021 JAN 04 05:17:30
orbit plot

NeinteraktivnĂ­ graf | InteraktivnĂ­ graf

position vs time
speed and acceleration