🇳🇴 🇬🇧 🇩🇪 🇨🇿 🇫🇮

Meteor Fosnavågin yllä 2021-01-04 05:17:30 UTC

KML-tiedosto  |  Interaktiivinen kartta

Kartta näyttää meteorin suuntahavainnot. Vaaleammat viivat näyttävät suunnat havaintoasemilta meteorin ilmestyessä, ja tummemmat viivat näyttävät, missä se viimeksi nähtiin. Sininen nuoli näyttää meteorin näkyvän lennon.

static map
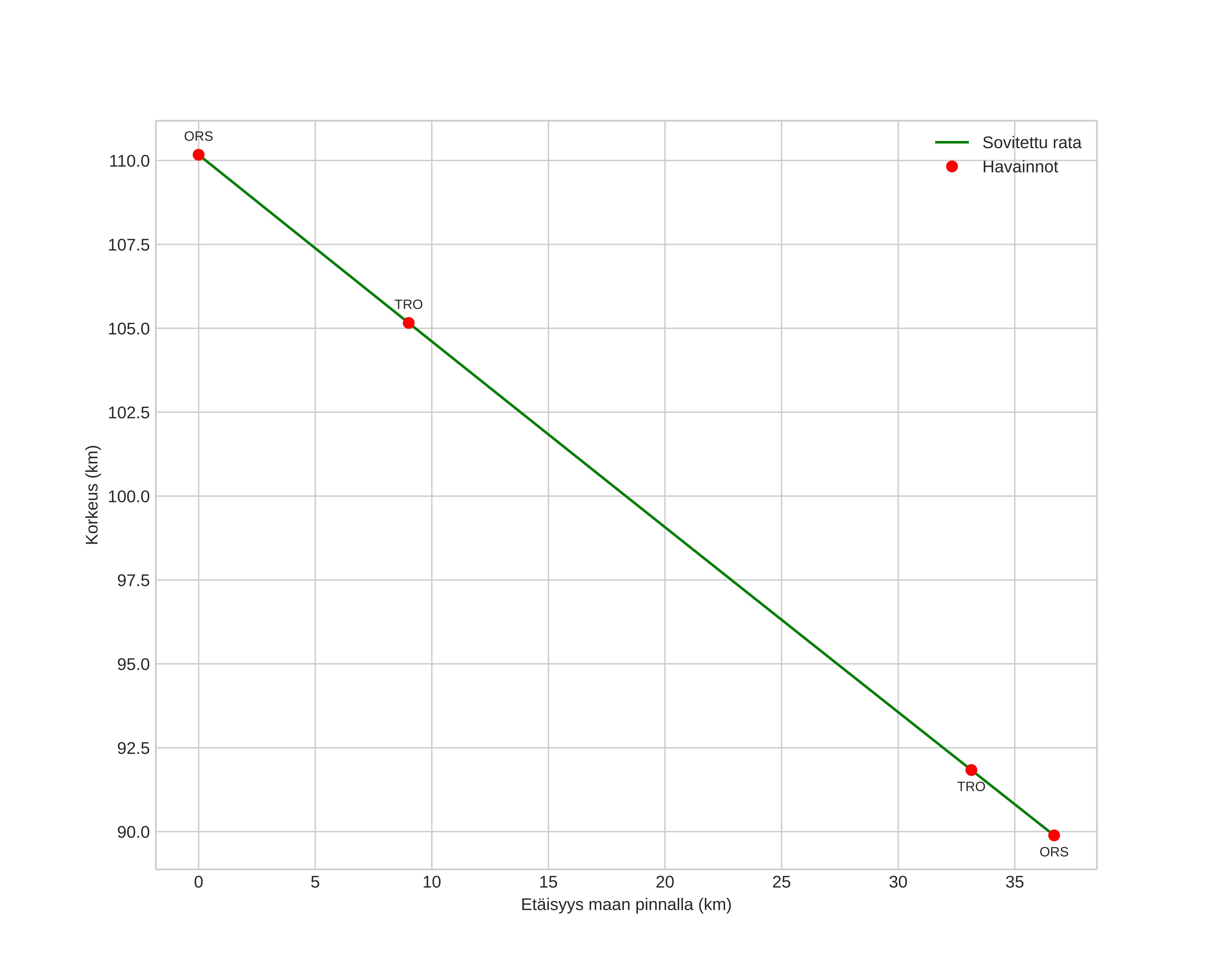
height profile
Meteorin ilmakehärata:
Alkukorkeus: 110,1 km
Loppukorkeus: 89,6 km
Alkupiste: 62,843N 5,995E
Loppupiste: 62,909N 5,265E
Suunta: 281,7°
Kallistuskulma: 28,5°
Tulonopeus: 45,9 km/s
Radiantin R,A,: 17:03 (255,9°)
Radiantin Dekl,: 19,3°
Meteoriparvi: Sporadinen
Meteoroidin rataelementit:
Perihelietäisyys: 0,562 AU
Eksentrisyys: 1,016
Inklinaatio: 66,5°
Nousevan solmun pituus: 283,8°
Perihelin argumentti: 98,7°
Keskianomalia: 0,2°
Epookki: 2021 JAN 04 05:17:30
orbit plot

Ei-interaktiivinen kuvaaja | Interaktiivinen kuvaaja

position vs time
speed and acceleration