🇳🇴 🇬🇧 🇩🇪 🇨🇿 🇫🇮

Meteor, poloha: Elverum 2021-01-04 23:21:38 UTC

Harestua – 2
Harestua – 2
Voksenlia – 3
Voksenlia – 3

Soubor KML  | Interaktivní mapa

map

Mapa zobrazuje dráhy meteoru. Světlejší čáry ukazují směry od pozorovacích stanic při objevení se meteoru a tmavší čáry, kde byl naposledy viděn. Modrá šipka značí viditelnou dráhu meteoru.

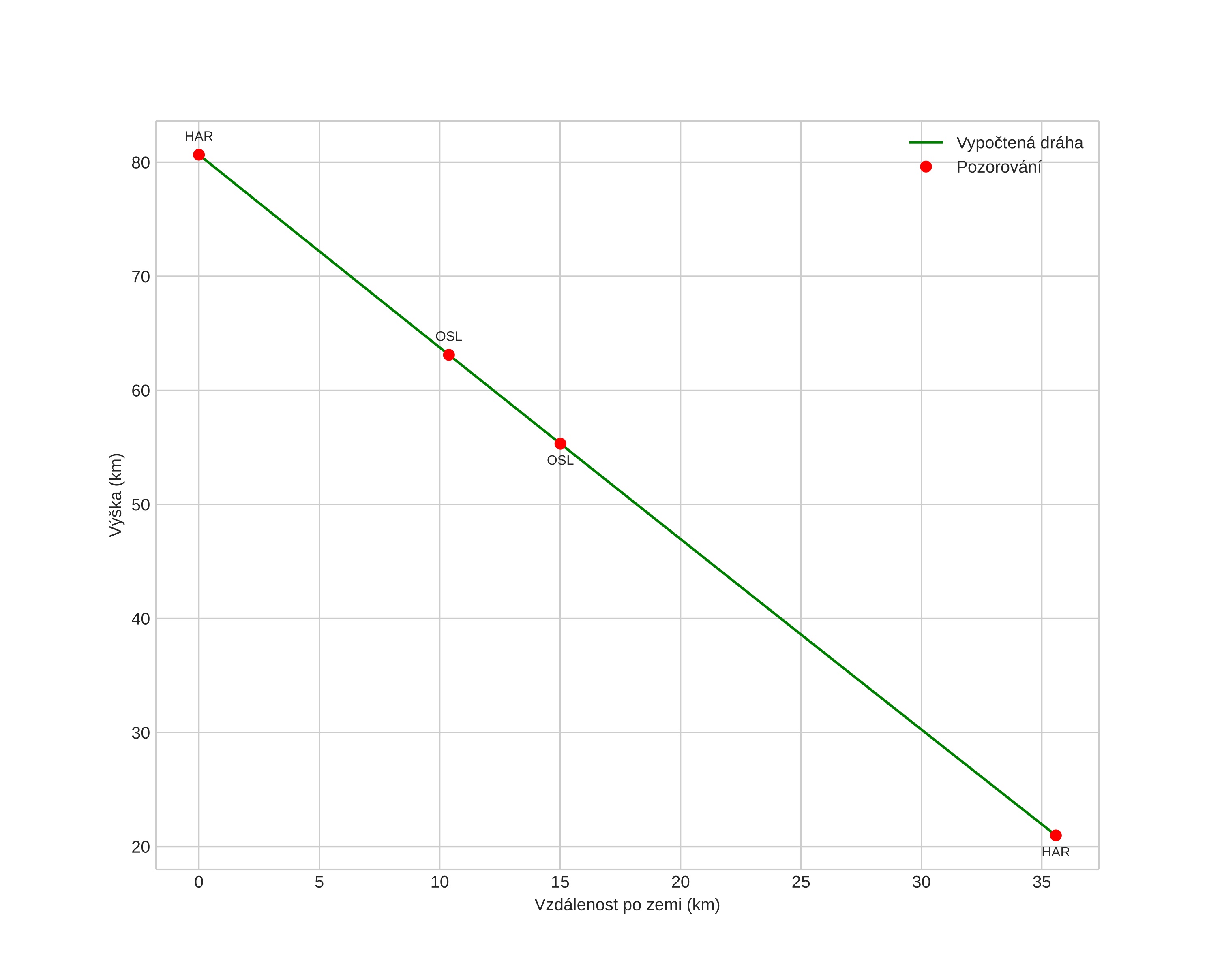
height profile
Atmosférická dráha meteoru:
Počáteční výška: 89,8 km
Konečná výška: 18,9 km
Počáteční poloha: 60,485N 11,206E
Konečná poloha: 60,680N 11,526E
Směr: 38,7°
Sklon: 68,5°
Vstupní rychlost: 16,2 km/s
Rektascenze radiantu: 05:40 (85,1°)
Deklinace radiantu: 38,5°
Meteorický roj: sporadický
Elementy dráhy meteoroidu:
Vzdálenost v periheliu: 0,844 AU
Excentricita: 0,497
Sklon dráhy: 5,2°
Délka vzestupného uzlu: 284,5°
Argument perihelia: 235,1°
Střední anomálie: 342,1°
Epocha: 2021 JAN 04 23:21:38
orbit

Neinteraktivní graf | Interaktivní graf

position vs time
speed & acceleration