🇳🇴 🇬🇧 🇩🇪 🇨🇿 🇫🇮

Meteor über Elverum 2021-01-04 23:21:38 UTC

Harestua – 2
Harestua – 2
Voksenlia – 3
Voksenlia – 3

KML-Datei  | Interaktive Karte

map

Die Karte zeigt die Peilungen für den Meteor. Die helleren Linien zeigen die Richtungen von den Beobachtungsorten beim Erscheinen des Meteors, und die dunkleren Linien, wo er zuletzt gesehen wurde. Der blaue Pfeil zeigt die sichtbare Bahn des Meteors.

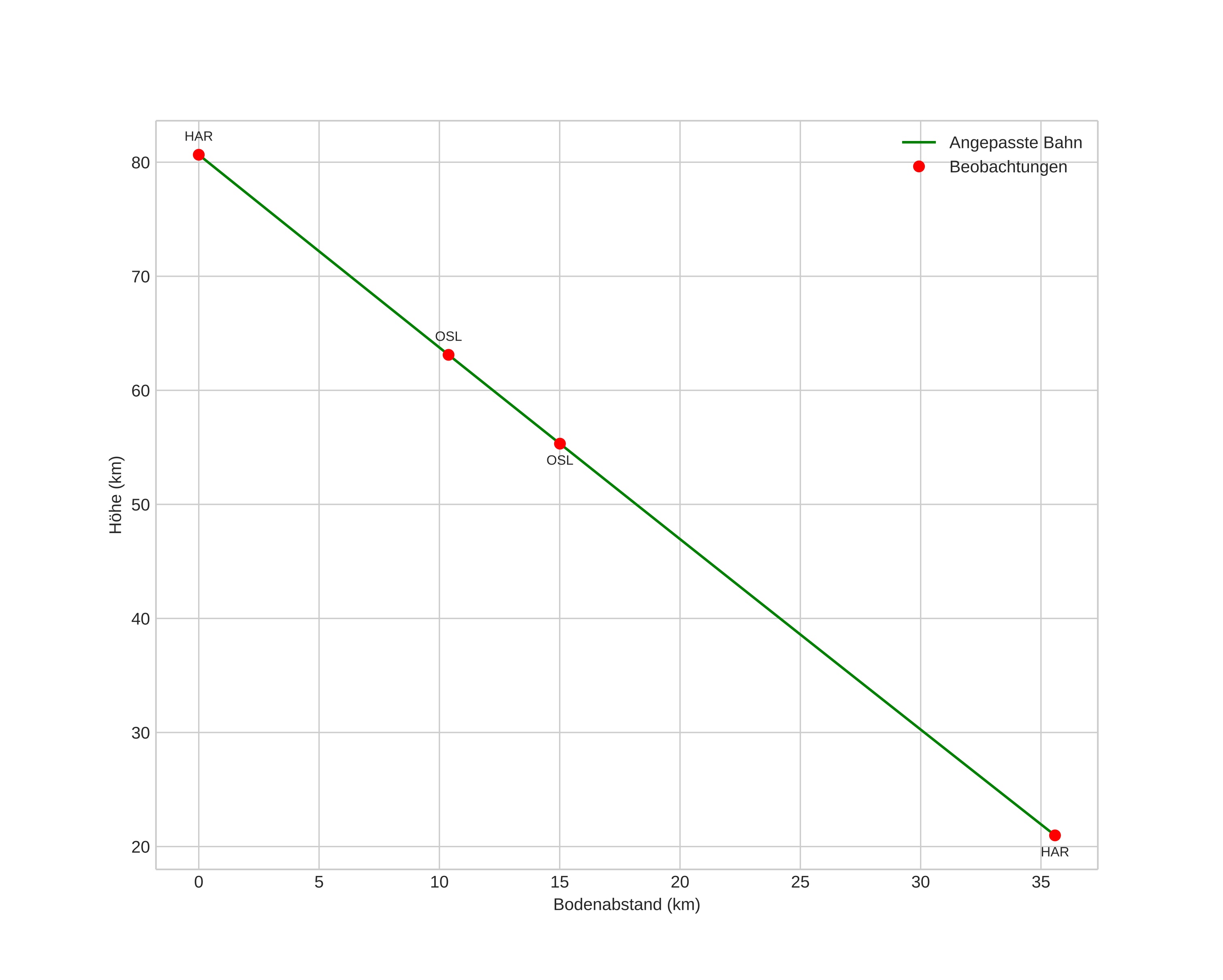
height profile
Atmosphärische Bahn des Meteors:
Anfangshöhe: 89,8 km
Endhöhe: 18,9 km
Startposition: 60,485N 11,206E
Endposition: 60,680N 11,526E
Richtung: 38,7°
Neigungswinkel: 68,5°
Eintrittsgeschwindigkeit: 16,2 km/s
Rektaszension des Radianten: 05:40 (85,1°)
Deklination des Radianten: 38,5°
Meteorstrom: sporadisch
Bahnelemente des Meteoroiden:
Periheldistanz: 0,844 AU
Exzentrizität: 0,497
Inklination: 5,2°
Länge des aufsteigenden Knotens: 284,5°
Argument des Perihels: 235,1°
Mittlere Anomalie: 342,1°
Epoche: 2021 JAN 04 23:21:38
orbit

Nicht-interaktives Diagramm | Interaktives Diagramm

position vs time
speed & acceleration