🇳🇴 🇬🇧 🇩🇪 🇨🇿 🇫🇮

Meteor, poloha: Bjørkelangen 2021-01-05 16:04:34 UTC

Soubor KML  |  InteraktivnĂ­ mapa

Mapa zobrazuje dráhy meteoru. Světlejší čáry ukazují směry od pozorovacích stanic při objevení se meteoru a tmavší čáry, kde byl naposledy viděn. Modrá šipka značí viditelnou dráhu meteoru.

static map
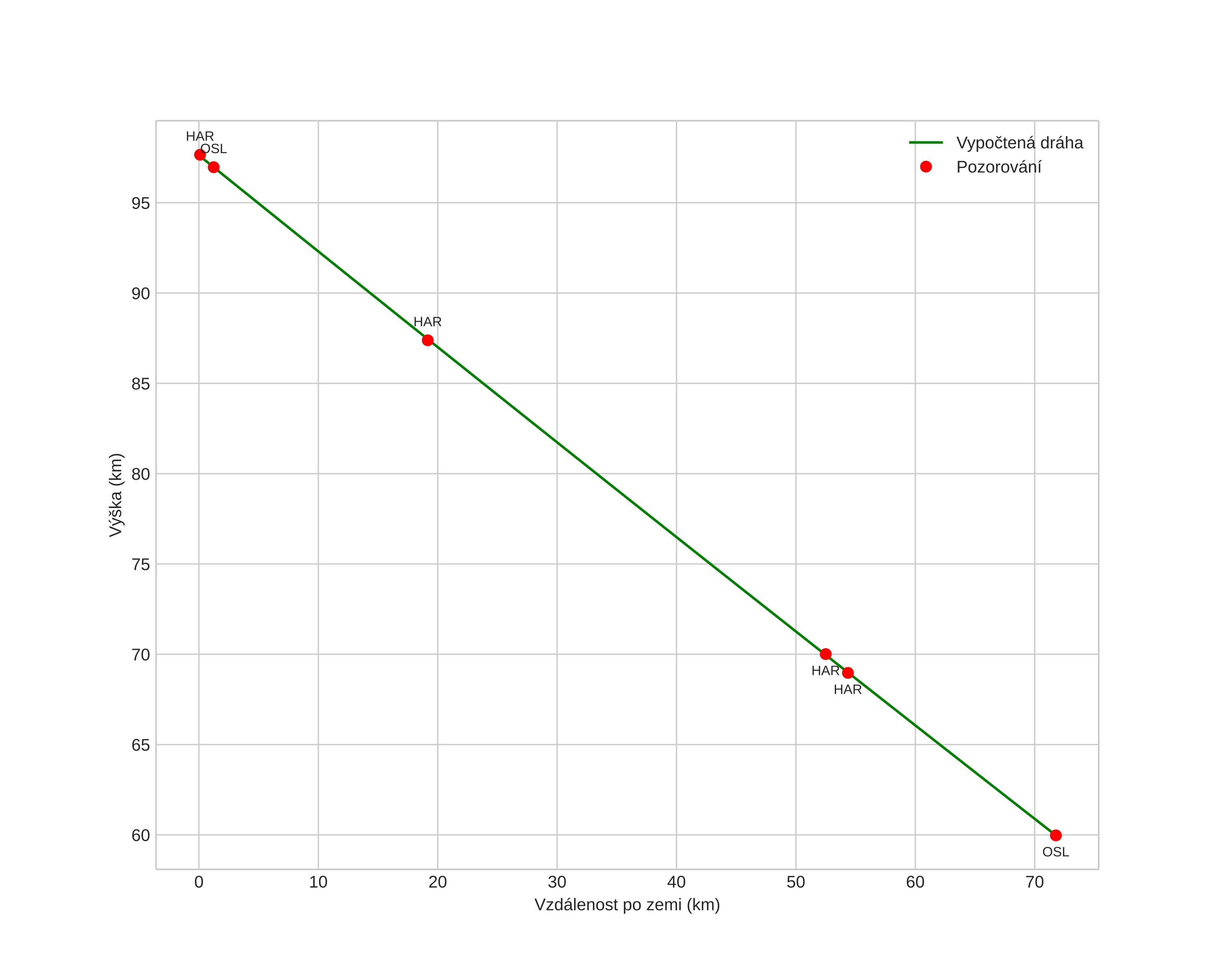
height profile
Atmosférická dráha meteoru:
Počáteční výška: 99,2 km
Konečná výška: 58,2 km
Počáteční poloha: 60,477N 11,048E
Konečná poloha: 59,908N 11,730E
Směr: 148,9°
Sklon: 29,1°
VstupnĂ­ rychlost: 42,9 km/s
Rektascenze radiantu: 14:58 (224,7°)
Deklinace radiantu: 51,2°
MeteorickĂ˝ roj: Kvadrantidy
Elementy dráhy meteoroidu:
Vzdálenost v periheliu: 0,982 AU
Excentricita: 0,663
Sklon dráhy: 72,8°
Délka vzestupného uzlu: 285,3°
Argument perihelia: 183,9°
Střední anomálie: 359,4°
Epocha: 2021 JAN 05 16:04:34
orbit plot

NeinteraktivnĂ­ graf | InteraktivnĂ­ graf

position vs time
speed and acceleration