🇳🇴 🇬🇧 🇩🇪 🇨🇿 🇫🇮

Meteor Bjørkelangenin yllä 2021-01-05 16:04:34 UTC

KML-tiedosto  |  Interaktiivinen kartta

Kartta näyttää meteorin suuntahavainnot. Vaaleammat viivat näyttävät suunnat havaintoasemilta meteorin ilmestyessä, ja tummemmat viivat näyttävät, missä se viimeksi nähtiin. Sininen nuoli näyttää meteorin näkyvän lennon.

static map
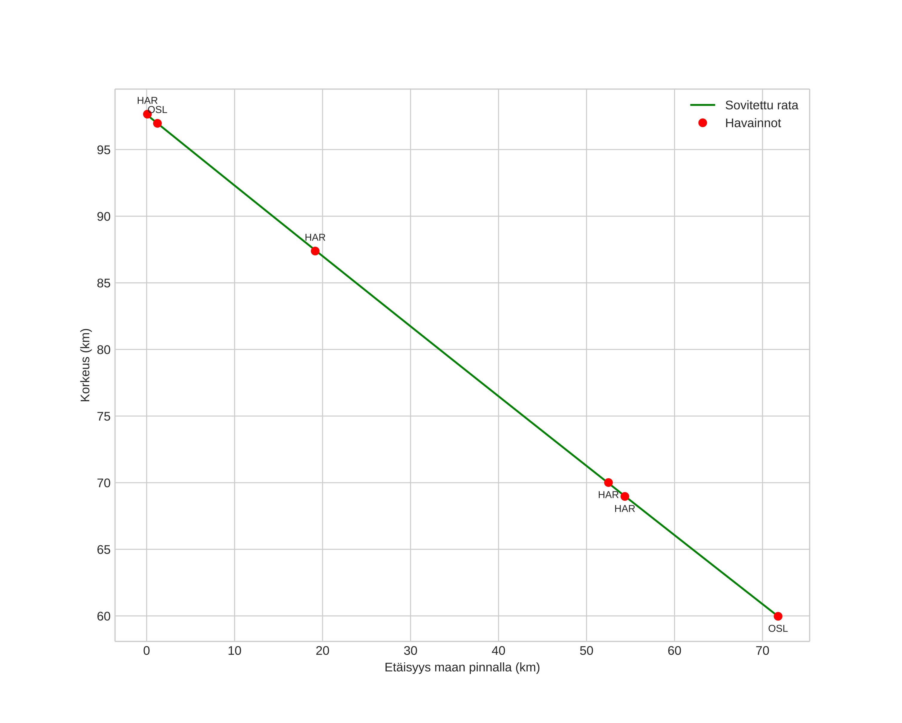
height profile
Meteorin ilmakehärata:
Alkukorkeus: 99,2 km
Loppukorkeus: 58,2 km
Alkupiste: 60,477N 11,048E
Loppupiste: 59,908N 11,730E
Suunta: 148,9°
Kallistuskulma: 29,1°
Tulonopeus: 42,9 km/s
Radiantin R,A,: 14:58 (224,7°)
Radiantin Dekl,: 51,2°
Meteoriparvi: Kvadrantidit
Meteoroidin rataelementit:
Perihelietäisyys: 0,982 AU
Eksentrisyys: 0,663
Inklinaatio: 72,8°
Nousevan solmun pituus: 285,3°
Perihelin argumentti: 183,9°
Keskianomalia: 359,4°
Epookki: 2021 JAN 05 16:04:34
orbit plot

Ei-interaktiivinen kuvaaja | Interaktiivinen kuvaaja

position vs time
speed and acceleration