🇳🇴 🇬🇧 🇩🇪 🇨🇿 🇫🇮

Meteor, poloha: Eidfjord 2021-01-12 21:56:50 UTC

Soubor KML  |  InteraktivnĂ­ mapa

Mapa zobrazuje dráhy meteoru. Světlejší čáry ukazují směry od pozorovacích stanic při objevení se meteoru a tmavší čáry, kde byl naposledy viděn. Modrá šipka značí viditelnou dráhu meteoru.

static map
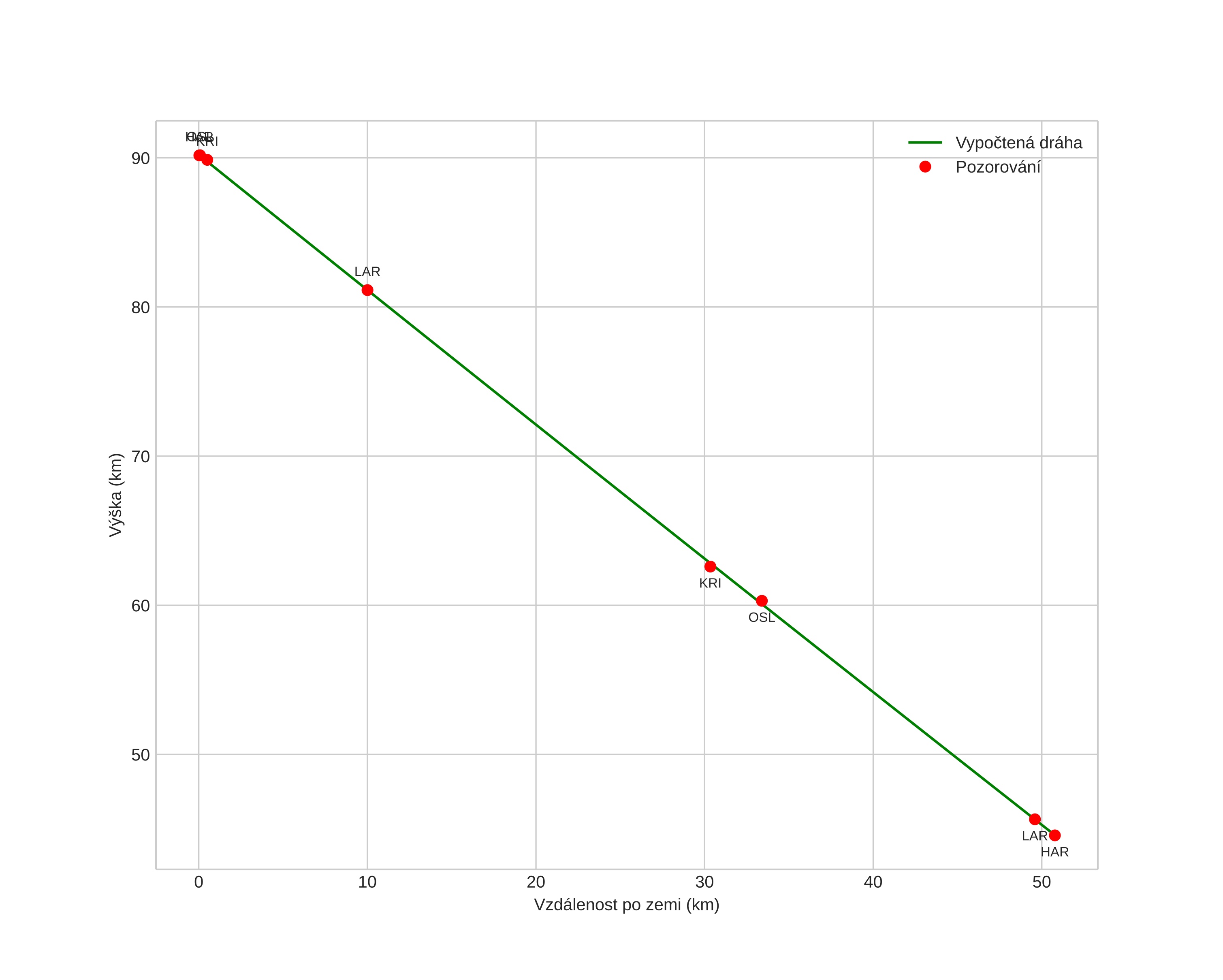
height profile
Atmosférická dráha meteoru:
Počáteční výška: 91,0 km
Konečná výška: 44,2 km
Počáteční poloha: 59,895N 8,041E
Konečná poloha: 60,153N 7,289E
Směr: 304,8°
Sklon: 42,7°
VstupnĂ­ rychlost: 34,0 km/s
Rektascenze radiantu: 08:41 (130,4°)
Deklinace radiantu: 21,0°
MeteorickĂ˝ roj: sporadickĂ˝
Elementy dráhy meteoroidu:
Vzdálenost v periheliu: 0,287 AU
Excentricita: 0,883
Sklon dráhy: 3,7°
Délka vzestupného uzlu: 292,6°
Argument perihelia: 300,7°
Střední anomálie: 350,0°
Epocha: 2021 JAN 12 21:56:50
orbit plot

NeinteraktivnĂ­ graf | InteraktivnĂ­ graf

position vs time
speed and acceleration