🇳🇴 🇬🇧 🇩🇪 🇨🇿 🇫🇮

Meteor Eidfjordin yllä 2021-01-12 21:56:50 UTC

KML-tiedosto  |  Interaktiivinen kartta

Kartta näyttää meteorin suuntahavainnot. Vaaleammat viivat näyttävät suunnat havaintoasemilta meteorin ilmestyessä, ja tummemmat viivat näyttävät, missä se viimeksi nähtiin. Sininen nuoli näyttää meteorin näkyvän lennon.

static map
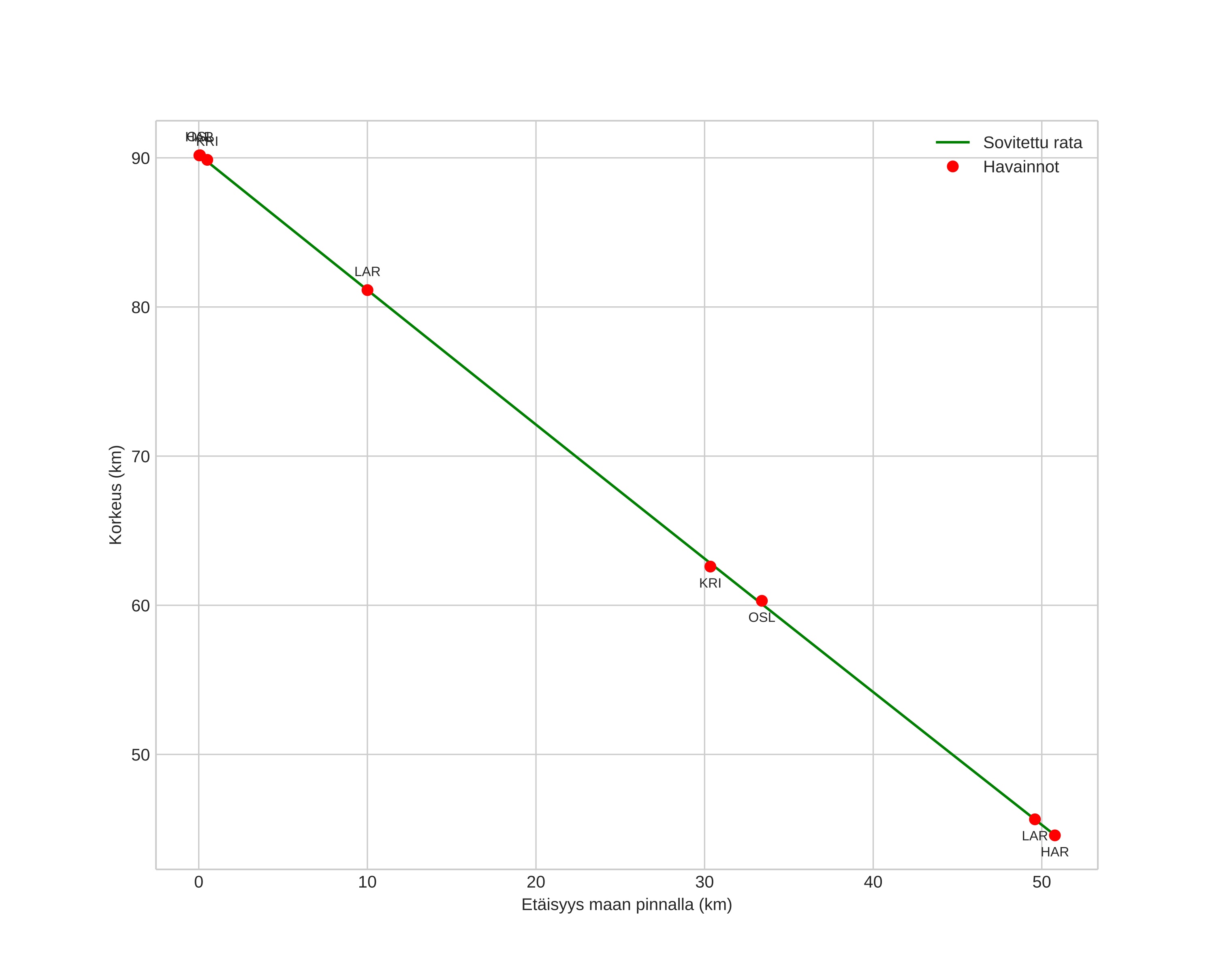
height profile
Meteorin ilmakehärata:
Alkukorkeus: 91,0 km
Loppukorkeus: 44,2 km
Alkupiste: 59,895N 8,041E
Loppupiste: 60,153N 7,289E
Suunta: 304,8°
Kallistuskulma: 42,7°
Tulonopeus: 34,0 km/s
Radiantin R,A,: 08:41 (130,4°)
Radiantin Dekl,: 21,0°
Meteoriparvi: Sporadinen
Meteoroidin rataelementit:
Perihelietäisyys: 0,287 AU
Eksentrisyys: 0,883
Inklinaatio: 3,7°
Nousevan solmun pituus: 292,6°
Perihelin argumentti: 300,7°
Keskianomalia: 350,0°
Epookki: 2021 JAN 12 21:56:50
orbit plot

Ei-interaktiivinen kuvaaja | Interaktiivinen kuvaaja

position vs time
speed and acceleration