🇳🇴 🇬🇧 🇩🇪 🇨🇿 🇫🇮

Meteor, poloha: Säffle 2021-01-15 23:02:58 UTC

Soubor KML  |  InteraktivnĂ­ mapa

Mapa zobrazuje dráhy meteoru. Světlejší čáry ukazují směry od pozorovacích stanic při objevení se meteoru a tmavší čáry, kde byl naposledy viděn. Modrá šipka značí viditelnou dráhu meteoru.

static map
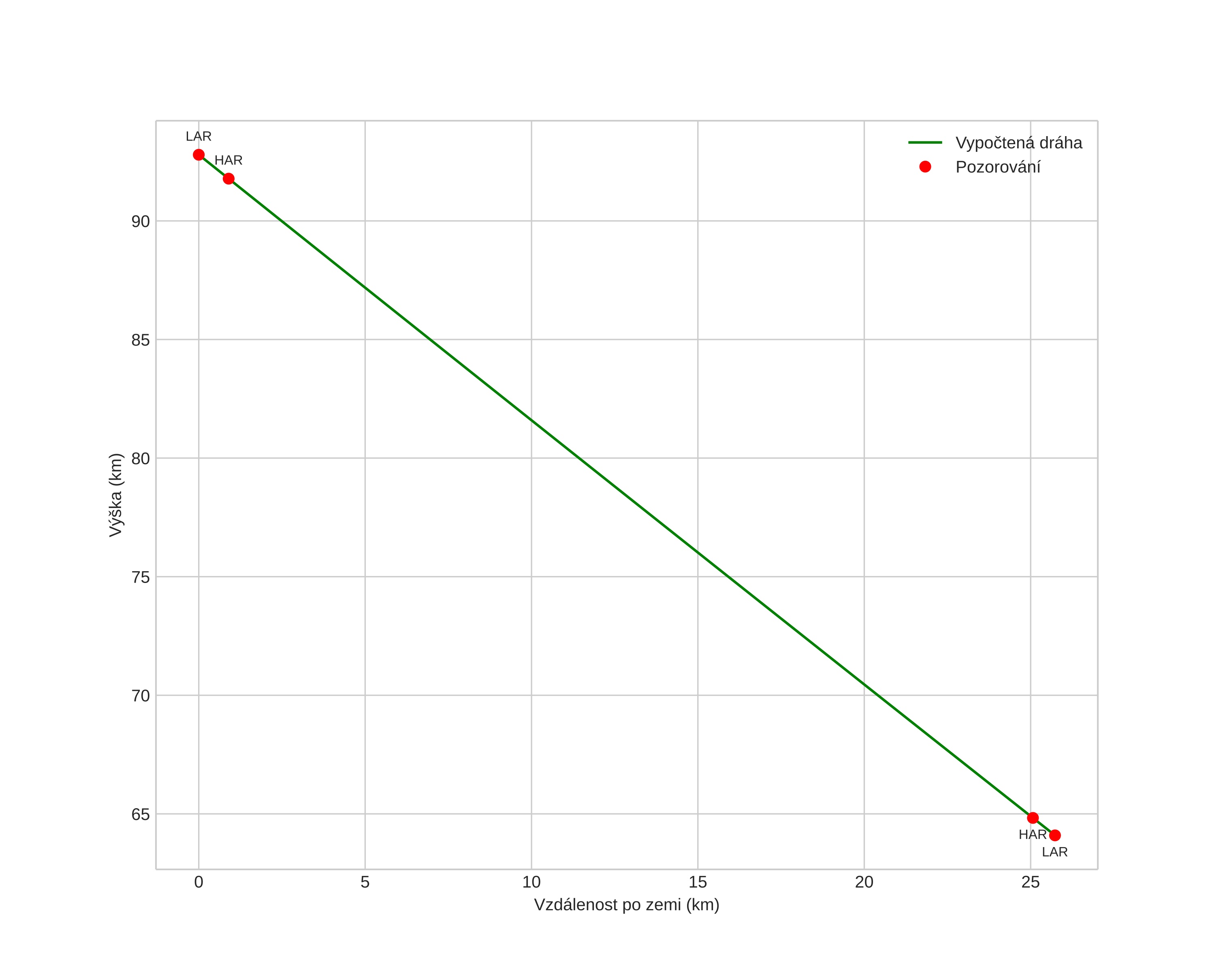
height profile
Atmosférická dráha meteoru:
Počáteční výška: 92,8 km
Konečná výška: 64,1 km
Počáteční poloha: 59,135N 13,214E
Konečná poloha: 59,308N 12,922E
Směr: 319,4°
Sklon: 48,4°
VstupnĂ­ rychlost: 37,8 km/s
Rektascenze radiantu: 09:28 (142,1°)
Deklinace radiantu: 21,7°
MeteorickĂ˝ roj: sporadickĂ˝
Elementy dráhy meteoroidu:
Vzdálenost v periheliu: 0,173 AU
Excentricita: 0,922
Sklon dráhy: 13,4°
Délka vzestupného uzlu: 295,7°
Argument perihelia: 315,8°
Střední anomálie: 349,2°
Epocha: 2021 JAN 15 23:02:58
orbit plot

NeinteraktivnĂ­ graf | InteraktivnĂ­ graf

position vs time
speed and acceleration