🇳🇴 🇬🇧 🇩🇪 🇨🇿 🇫🇮

Meteor Säfflen yllä 2021-01-15 23:02:58 UTC

KML-tiedosto  |  Interaktiivinen kartta

Kartta näyttää meteorin suuntahavainnot. Vaaleammat viivat näyttävät suunnat havaintoasemilta meteorin ilmestyessä, ja tummemmat viivat näyttävät, missä se viimeksi nähtiin. Sininen nuoli näyttää meteorin näkyvän lennon.

static map
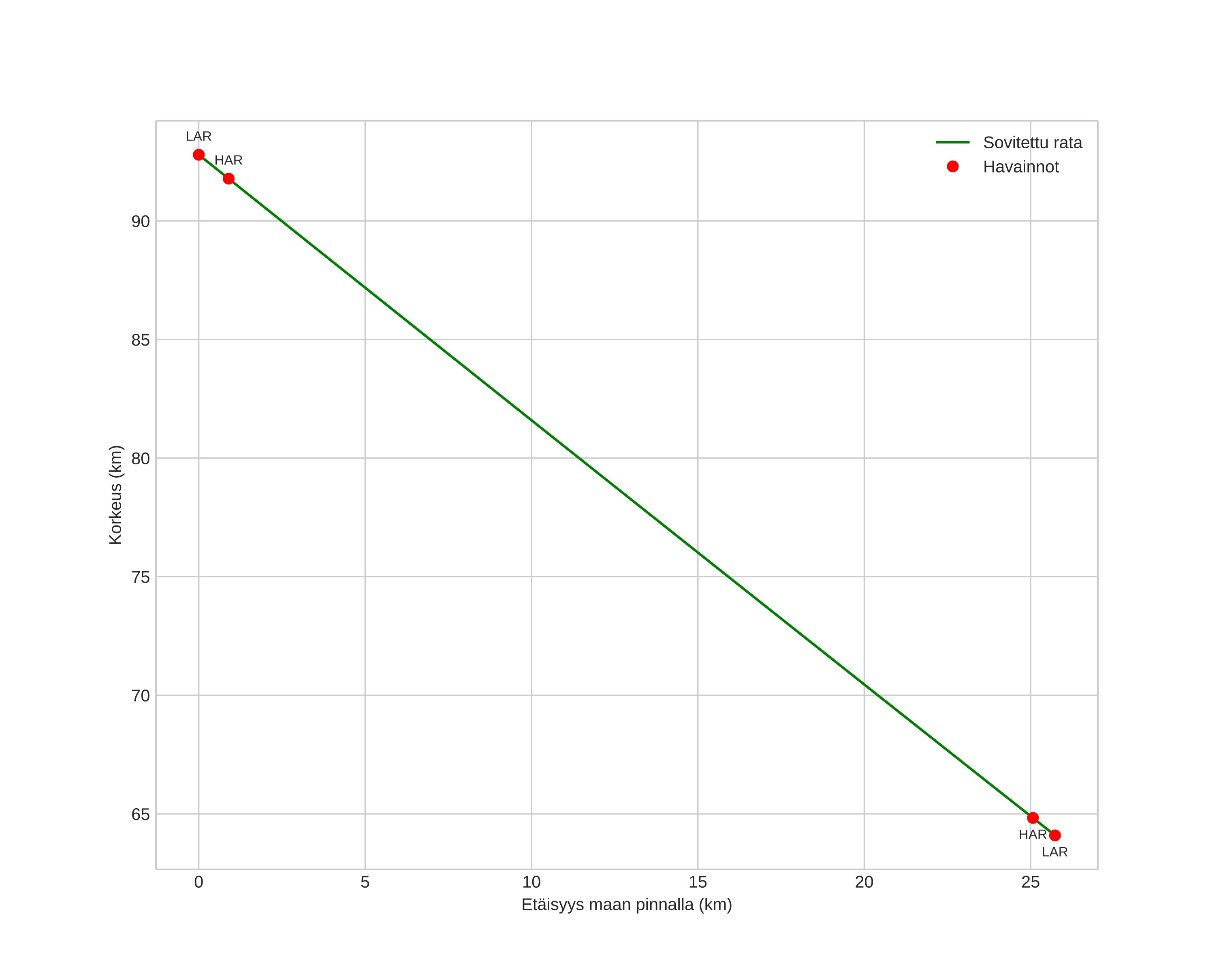
height profile
Meteorin ilmakehärata:
Alkukorkeus: 92,8 km
Loppukorkeus: 64,1 km
Alkupiste: 59,135N 13,214E
Loppupiste: 59,308N 12,922E
Suunta: 319,4°
Kallistuskulma: 48,4°
Tulonopeus: 37,8 km/s
Radiantin R,A,: 09:28 (142,1°)
Radiantin Dekl,: 21,7°
Meteoriparvi: Sporadinen
Meteoroidin rataelementit:
Perihelietäisyys: 0,173 AU
Eksentrisyys: 0,922
Inklinaatio: 13,4°
Nousevan solmun pituus: 295,7°
Perihelin argumentti: 315,8°
Keskianomalia: 349,2°
Epookki: 2021 JAN 15 23:02:58
orbit plot

Ei-interaktiivinen kuvaaja | Interaktiivinen kuvaaja

position vs time
speed and acceleration