🇳🇴 🇬🇧 🇩🇪 🇨🇿 🇫🇮

Meteor, poloha: Stavern 2021-01-17 02:00:28 UTC

Soubor KML  |  InteraktivnĂ­ mapa

Mapa zobrazuje dráhy meteoru. Světlejší čáry ukazují směry od pozorovacích stanic při objevení se meteoru a tmavší čáry, kde byl naposledy viděn. Modrá šipka značí viditelnou dráhu meteoru.

static map
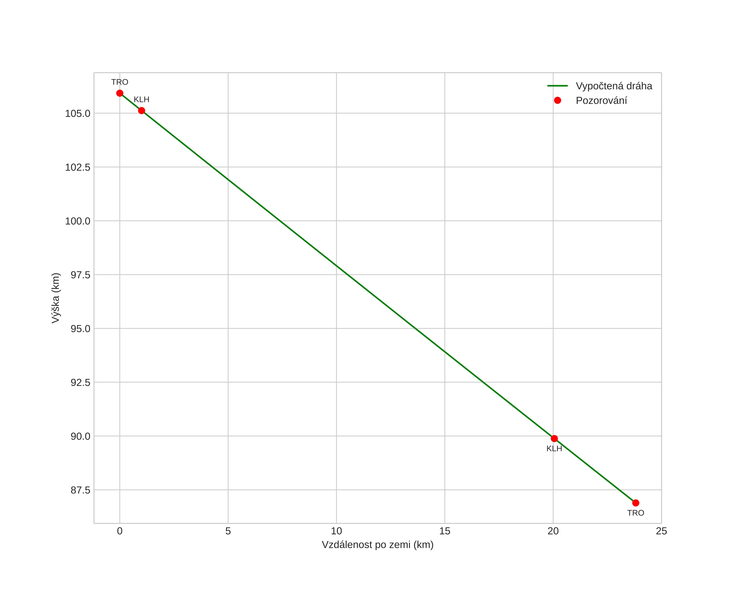
height profile
Atmosférická dráha meteoru:
Počáteční výška: 108,6 km
Konečná výška: 85,9 km
Počáteční poloha: 58,405N 10,520E
Konečná poloha: 58,462N 10,066E
Směr: 283,8°
Sklon: 39,8°
VstupnĂ­ rychlost: 68,0 km/s
Rektascenze radiantu: 14:14 (213,7°)
Deklinace radiantu: 26,6°
MeteorickĂ˝ roj: sporadickĂ˝
Elementy dráhy meteoroidu:
Vzdálenost v periheliu: 0,971 AU
Excentricita: 1,428
Sklon dráhy: 119,0°
Délka vzestupného uzlu: 296,9°
Argument perihelia: 192,2°
Střední anomálie: -2,2°
Epocha: 2021 JAN 17 02:00:28
orbit plot

NeinteraktivnĂ­ graf | InteraktivnĂ­ graf

position vs time
speed and acceleration