🇳🇴 🇬🇧 🇩🇪 🇨🇿 🇫🇮

Meteor Stavernin yllä 2021-01-17 02:00:28 UTC

KML-tiedosto  |  Interaktiivinen kartta

Kartta näyttää meteorin suuntahavainnot. Vaaleammat viivat näyttävät suunnat havaintoasemilta meteorin ilmestyessä, ja tummemmat viivat näyttävät, missä se viimeksi nähtiin. Sininen nuoli näyttää meteorin näkyvän lennon.

static map
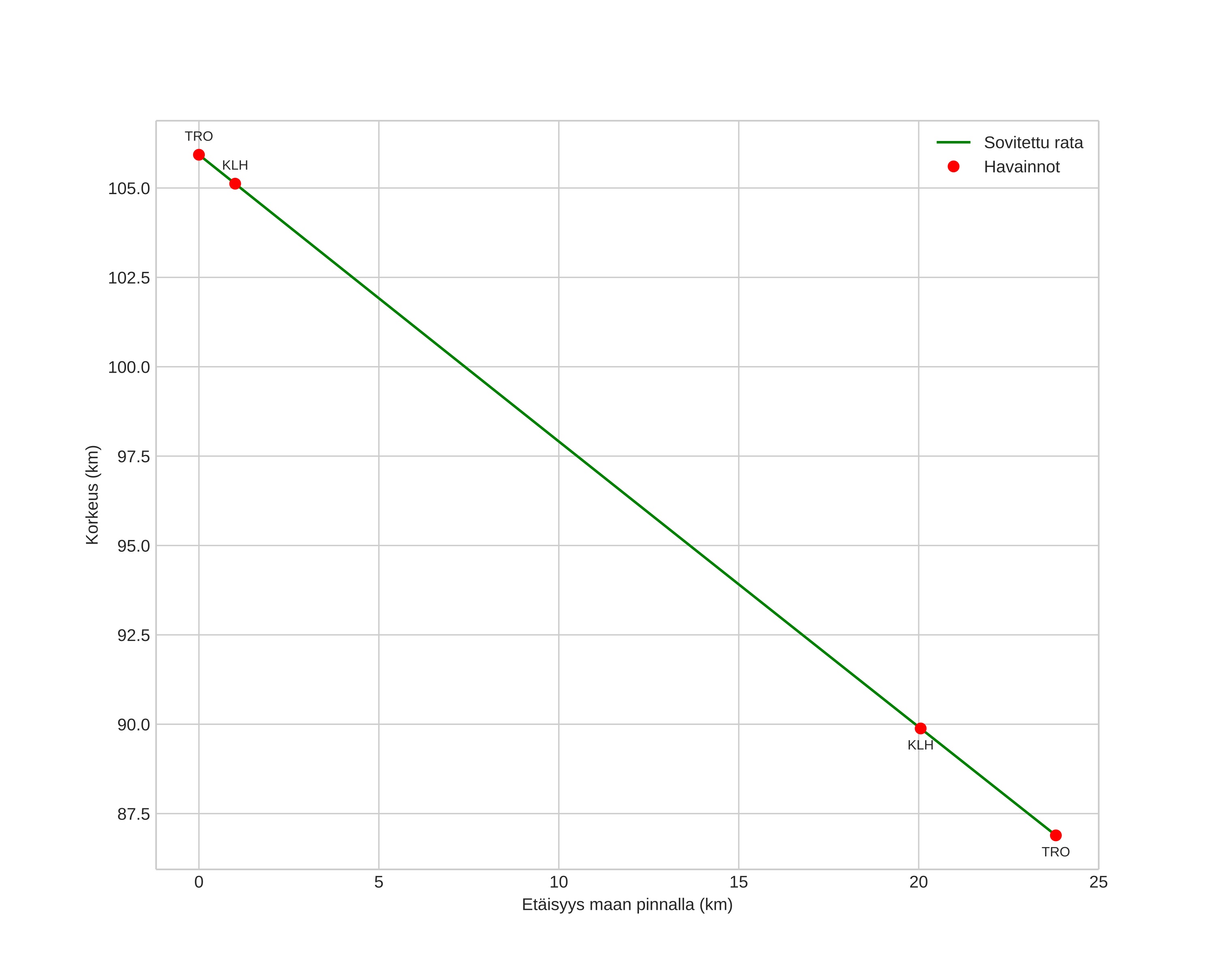
height profile
Meteorin ilmakehärata:
Alkukorkeus: 108,6 km
Loppukorkeus: 85,9 km
Alkupiste: 58,405N 10,520E
Loppupiste: 58,462N 10,066E
Suunta: 283,8°
Kallistuskulma: 39,8°
Tulonopeus: 68,0 km/s
Radiantin R,A,: 14:14 (213,7°)
Radiantin Dekl,: 26,6°
Meteoriparvi: Sporadinen
Meteoroidin rataelementit:
Perihelietäisyys: 0,971 AU
Eksentrisyys: 1,428
Inklinaatio: 119,0°
Nousevan solmun pituus: 296,9°
Perihelin argumentti: 192,2°
Keskianomalia: -2,2°
Epookki: 2021 JAN 17 02:00:28
orbit plot

Ei-interaktiivinen kuvaaja | Interaktiivinen kuvaaja

position vs time
speed and acceleration