🇳🇴 🇬🇧 🇩🇪 🇨🇿 🇫🇮

Meteor, poloha: Tromsø 2021-01-19 16:55:17 UTC

Soubor KML  |  InteraktivnĂ­ mapa

Mapa zobrazuje dráhy meteoru. Světlejší čáry ukazují směry od pozorovacích stanic při objevení se meteoru a tmavší čáry, kde byl naposledy viděn. Modrá šipka značí viditelnou dráhu meteoru.

static map
height profile
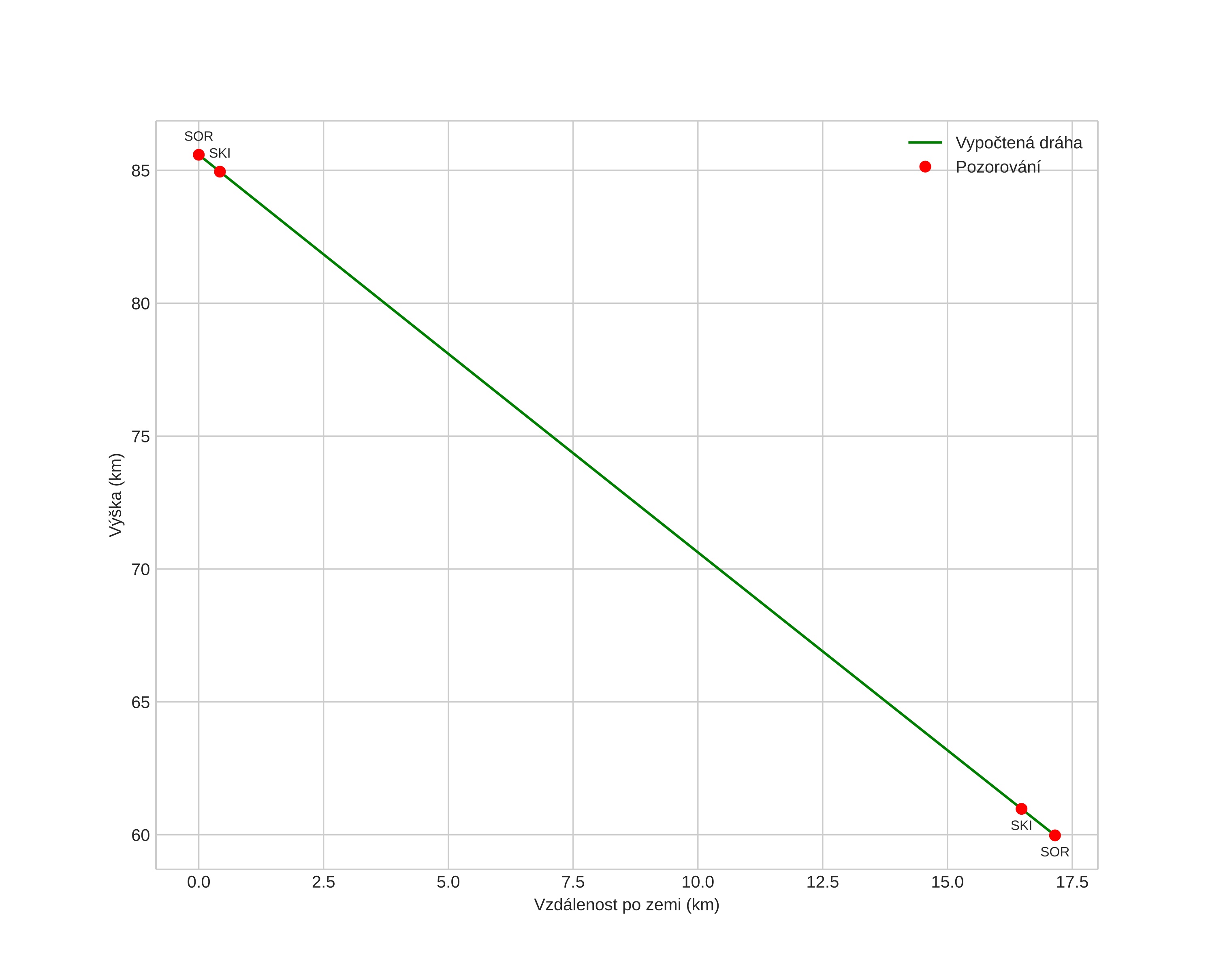
Atmosférická dráha meteoru:
Počáteční výška: 87,5 km
Konečná výška: 60,3 km
Počáteční poloha: 70,016N 19,154E
Konečná poloha: 69,855N 19,224E
Směr: 171,5°
Sklon: 56,3°
VstupnĂ­ rychlost: 28,4 km/s
Rektascenze radiantu: 15:28 (232,1°)
Deklinace radiantu: 74,4°
MeteorickĂ˝ roj: sporadickĂ˝
Elementy dráhy meteoroidu:
Vzdálenost v periheliu: 0,953 AU
Excentricita: 0,698
Sklon dráhy: 41,2°
Délka vzestupného uzlu: 299,6°
Argument perihelia: 202,7°
Střední anomálie: 357,0°
Epocha: 2021 JAN 19 16:55:17
orbit plot

NeinteraktivnĂ­ graf | InteraktivnĂ­ graf

position vs time
speed and acceleration