🇳🇴 🇬🇧 🇩🇪 🇨🇿 🇫🇮

Meteor über Tromsø 2021-01-19 16:55:17 UTC

KML-Datei  |  Interaktive Karte

Die Karte zeigt die Peilungen für den Meteor. Die helleren Linien zeigen die Richtungen von den Beobachtungsorten beim Erscheinen des Meteors, und die dunkleren Linien, wo er zuletzt gesehen wurde. Der blaue Pfeil zeigt die sichtbare Bahn des Meteors.

static map
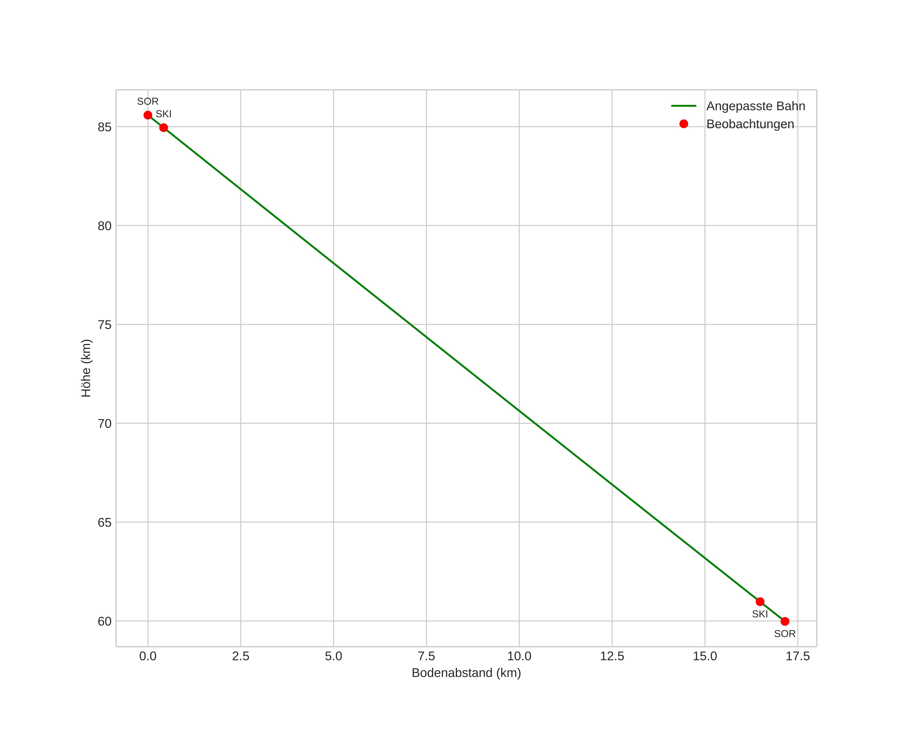
height profile
Atmosphärische Bahn des Meteors:
Anfangshöhe: 87,5 km
Endhöhe: 60,3 km
Startposition: 70,016N 19,154E
Endposition: 69,855N 19,224E
Richtung: 171,5°
Neigungswinkel: 56,3°
Eintrittsgeschwindigkeit: 28,4 km/s
Rektaszension des Radianten: 15:28 (232,1°)
Deklination des Radianten: 74,4°
Meteorstrom: sporadisch
Bahnelemente des Meteoroiden:
Periheldistanz: 0,953 AU
Exzentrizität: 0,698
Inklination: 41,2°
Länge des aufsteigenden Knotens: 299,6°
Argument des Perihels: 202,7°
Mittlere Anomalie: 357,0°
Epoche: 2021 JAN 19 16:55:17
orbit plot

Nicht-interaktives Diagramm | Interaktives Diagramm

position vs time
speed and acceleration