🇳🇴 🇬🇧 🇩🇪 🇨🇿 🇫🇮

Meteor, poloha: Kautokeino 2021-01-20 04:15:56 UTC

Soubor KML  |  InteraktivnĂ­ mapa

Mapa zobrazuje dráhy meteoru. Světlejší čáry ukazují směry od pozorovacích stanic při objevení se meteoru a tmavší čáry, kde byl naposledy viděn. Modrá šipka značí viditelnou dráhu meteoru.

static map
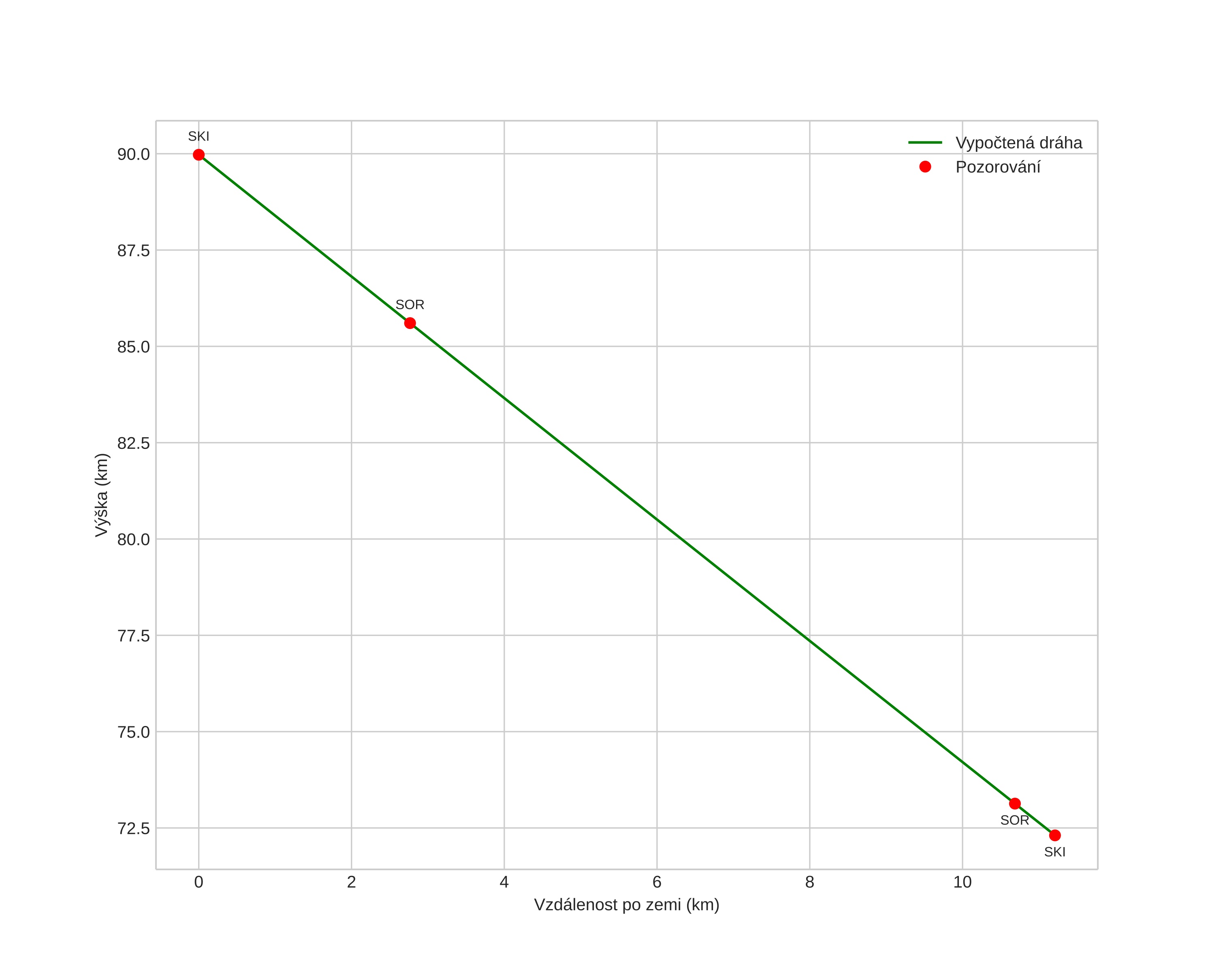
height profile
Atmosférická dráha meteoru:
Počáteční výška: 94,5 km
Konečná výška: 73,9 km
Počáteční poloha: 68,816N 23,624E
Konečná poloha: 68,753N 23,341E
Směr: 238,4°
Sklon: 57,0°
VstupnĂ­ rychlost: 25,4 km/s
Rektascenze radiantu: 19:39 (294,8°)
Deklinace radiantu: 61,2°
MeteorickĂ˝ roj: sporadickĂ˝
Elementy dráhy meteoroidu:
Vzdálenost v periheliu: 0,976 AU
Excentricita: 0,818
Sklon dráhy: 33,5°
Délka vzestupného uzlu: 300,0°
Argument perihelia: 169,1°
Střední anomálie: 0,6°
Epocha: 2021 JAN 20 04:15:56
orbit plot

NeinteraktivnĂ­ graf | InteraktivnĂ­ graf

position vs time
speed and acceleration