🇳🇴 🇬🇧 🇩🇪 🇨🇿 🇫🇮

Meteor Kautokeinon yllä 2021-01-20 04:15:56 UTC

KML-tiedosto  |  Interaktiivinen kartta

Kartta näyttää meteorin suuntahavainnot. Vaaleammat viivat näyttävät suunnat havaintoasemilta meteorin ilmestyessä, ja tummemmat viivat näyttävät, missä se viimeksi nähtiin. Sininen nuoli näyttää meteorin näkyvän lennon.

static map
height profile
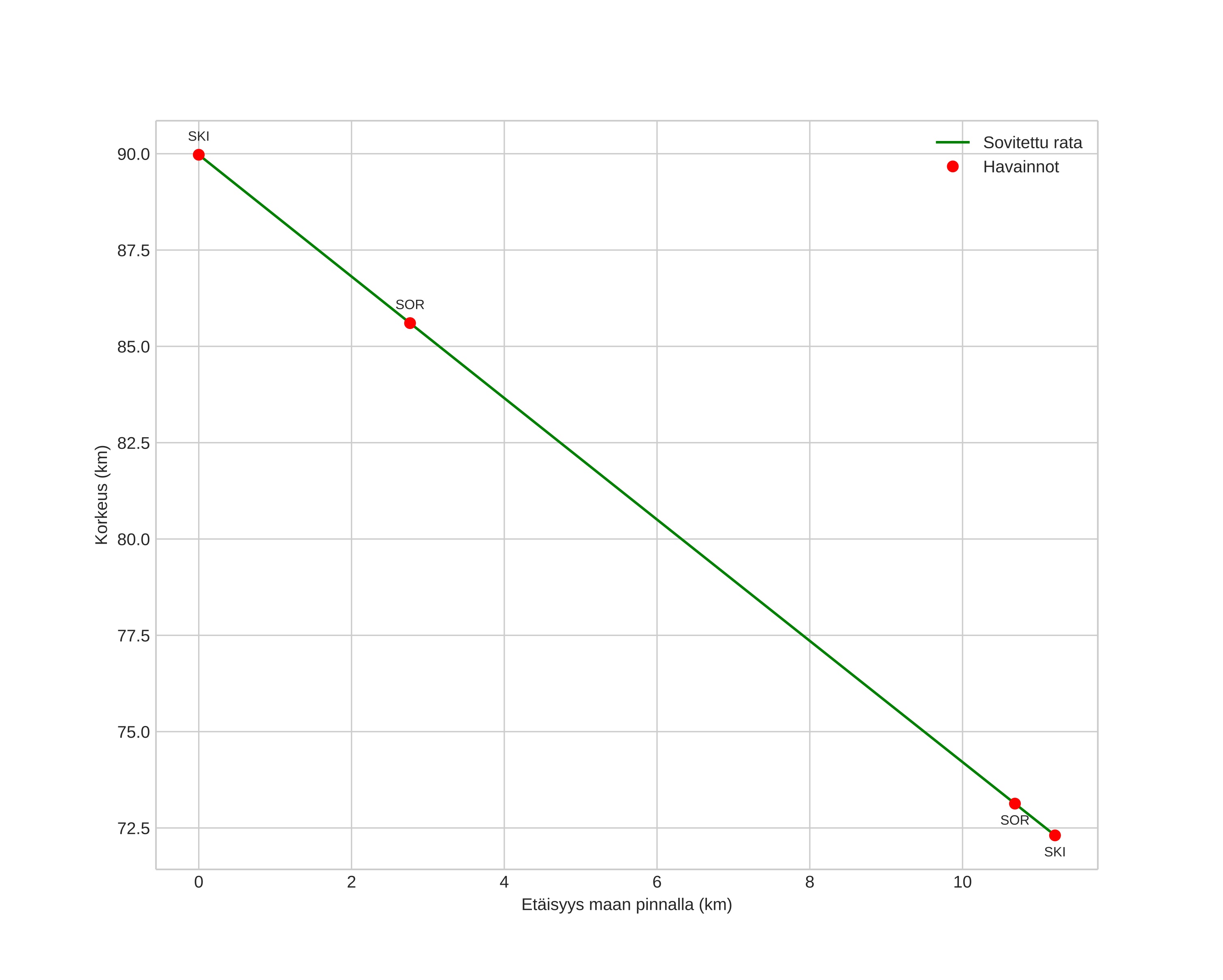
Meteorin ilmakehärata:
Alkukorkeus: 94,5 km
Loppukorkeus: 73,9 km
Alkupiste: 68,816N 23,624E
Loppupiste: 68,753N 23,341E
Suunta: 238,4°
Kallistuskulma: 57,0°
Tulonopeus: 25,4 km/s
Radiantin R,A,: 19:39 (294,8°)
Radiantin Dekl,: 61,2°
Meteoriparvi: Sporadinen
Meteoroidin rataelementit:
Perihelietäisyys: 0,976 AU
Eksentrisyys: 0,818
Inklinaatio: 33,5°
Nousevan solmun pituus: 300,0°
Perihelin argumentti: 169,1°
Keskianomalia: 0,6°
Epookki: 2021 JAN 20 04:15:56
orbit plot

Ei-interaktiivinen kuvaaja | Interaktiivinen kuvaaja

position vs time
speed and acceleration