🇳🇴 🇬🇧 🇩🇪 🇨🇿 🇫🇮

Meteor, poloha: Malvik 2021-01-20 05:20:13 UTC

Soubor KML  |  InteraktivnĂ­ mapa

Mapa zobrazuje dráhy meteoru. Světlejší čáry ukazují směry od pozorovacích stanic při objevení se meteoru a tmavší čáry, kde byl naposledy viděn. Modrá šipka značí viditelnou dráhu meteoru.

static map
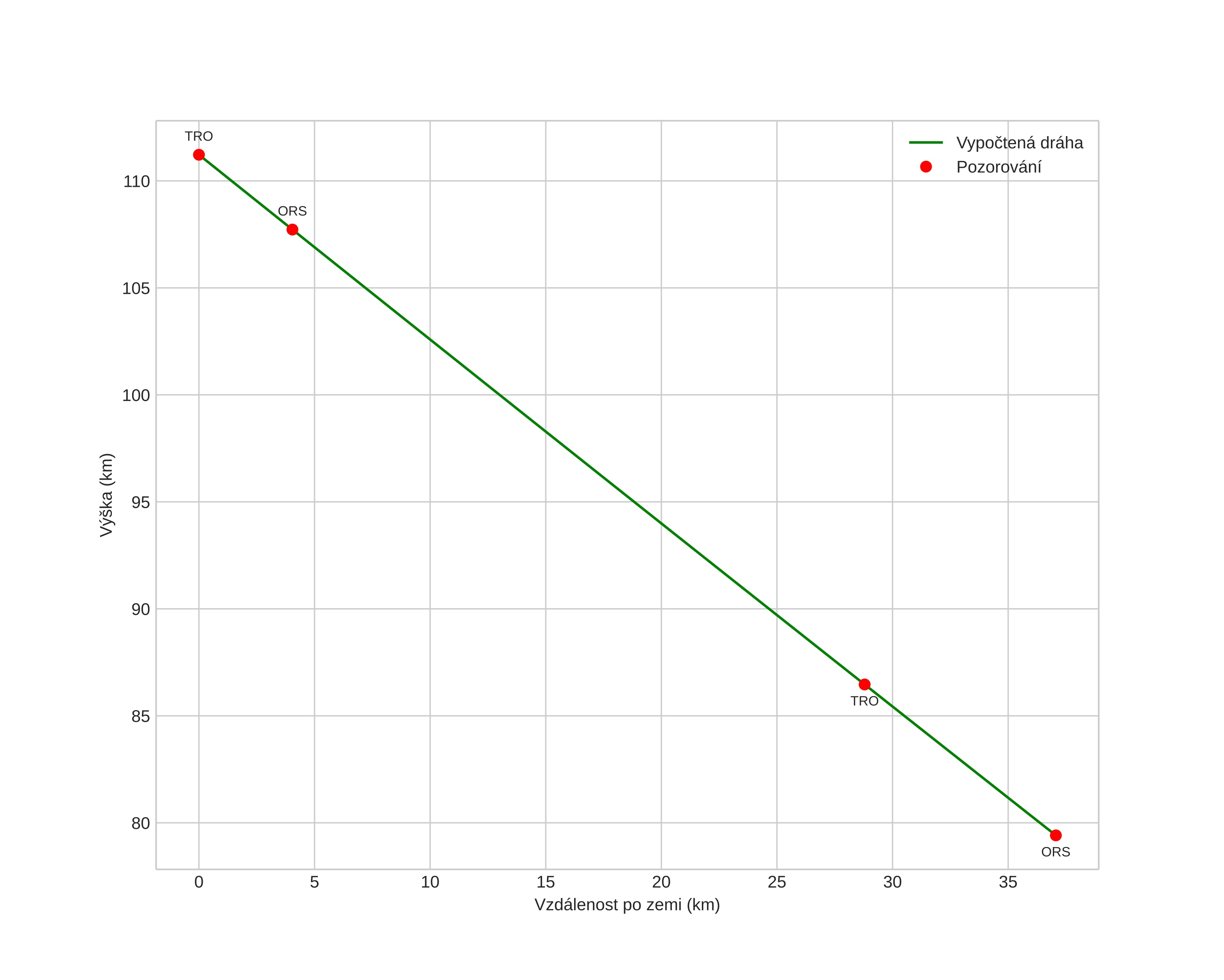
height profile
Atmosférická dráha meteoru:
Počáteční výška: 111,0 km
Konečná výška: 79,1 km
Počáteční poloha: 63,137N 10,982E
Konečná poloha: 63,428N 10,621E
Směr: 331,0°
Sklon: 40,7°
VstupnĂ­ rychlost: 68,7 km/s
Rektascenze radiantu: 15:31 (232,9°)
Deklinace radiantu: 16,1°
MeteorickĂ˝ roj: sporadickĂ˝
Elementy dráhy meteoroidu:
Vzdálenost v periheliu: 0,897 AU
Excentricita: 1,431
Sklon dráhy: 122,1°
Délka vzestupného uzlu: 300,1°
Argument perihelia: 148,2°
Střední anomálie: 6,1°
Epocha: 2021 JAN 20 05:20:13
orbit plot

NeinteraktivnĂ­ graf | InteraktivnĂ­ graf

position vs time
speed and acceleration